ÌâÄ¿ÄÚÈÝ
2010ÄêÊî¼ÙÆÚ¼ä£¬Ä³Ñ§Ð£¿ÎÌâÑо¿Ð¡×éΪÁË׫д¹ØÓÚδ֪²ÄÁϵç×èÂʵÄʵ¼ù±¨¸æ£¬Éè¼ÆÁËÒ»¸ö²âÁ¿µç×èÂʵÄʵÑé·½°¸£¬¿ÉÌṩµÄÆ÷²ÄÓУºA¡¢µçÁ÷±íG£¬ÄÚ×èRg=120¦¸£¬ÂúÆ«µçÁ÷Ig=3mA
B¡¢µçÁ÷±íA£¬ÄÚ×èԼΪ0.2¦¸£¬Á¿³ÌΪ0¡«0.6A C¡¢ÂÝÐý²â΢Æ÷
D¡¢µç×èÏäR£¨0¡«9999¦¸£¬0.5A£© E¡¢»¬¶¯±ä×èÆ÷R£¨5¦¸£¬1A£©
F¡¢¸Éµç³Ø×飨3V£¬0.05¦¸£© G¡¢Ò»¸ö¿ª¹ØºÍµ¼ÏßÈô¸É
Ëû½øÐÐÁËÒÔϲÙ×÷£º
£¨1£©ÓöàÓõç±í´Ö²âµç×èË¿µÄ×èÖµ£¬µ±Óá°×10¦¸¡±µ²Ê±·¢ÏÖÖ¸ÕëÆ«×ª½Ç¶È¹ý´ó£¬ËûÓ¦¸Ã»»ÓÃ______µ²£¨Ìî¡°×1¦¸¡±
»ò¡°×100¦¸¡±£©£¬»»µ²ºó£¬ÔÚÔٴβâÁ¿Ç°ÏÈÒª______£¬½øÐÐһϵÁÐÕýÈ·²Ù×÷ºó£¬Ö¸Õ뾲ֹʱͼ1Ëùʾ£¬Ôòµç×èË¿µÄ×è
ֵԼΪ______£®
£¨2£©ÓÃÂÝÐý²â΢Æ÷²âµç×èË¿µÄÖ±¾¶£¬ÆäʾÊý²¿·ÖÈçͼ2Ëùʾ£¬Ôò¸Ã´Î²âÁ¿µÄÖ±¾¶d=______mm£®
£¨3£©ÒòÎÞµçѹ±í¡¢¹ÌÓõçÁ÷±íGÓëµç×èÏä´®ÁªÊ¹Óã¬×î´ó²âÁ¿µçѹΪ3V£¬Ôòµç×èÏäµÄ×èÖµÓ¦µ÷ΪR=______¦¸£®
£¨4£©Éè¼ÆÊµÑéµç·£¬¸ù¾ÝÌṩµÄÆ÷²ÄºÍʵÑéÐèÒª£¬Ç뽫ͼ3Öеç·ͼ²¹»ÍêÕû£®
£¨5£©ÊµÑéÊý¾ÝµÄ²âÁ¿Óëµç×èÂʵļÆË㣬Èç¹ûµç×èË¿µÄ³¤¶ÈÓÃL±íʾ£¬µç·±ÕºÏºó£¬µ÷½Ú»¬¶¯±ä×èÆ÷µÄ»¬Æ¬µ½ºÏÊÊλÖã¬
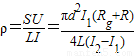
µçÁ÷±íGµÄʾÊýΪI1£¬µçÁ÷±íAµÄʾÊýΪI2£¬ÇëÓÃÒÑÖªÁ¿ºÍ²âÁ¿Ð´³ö¼ÆËãµç×èÂʵıí´ïʽp=______£®
¡¾´ð°¸¡¿·ÖÎö£º£¨1£©Å·Ä·±íÖ¸ÕëÆ«×ª½Ç¶È´ó£¬µçÁ÷´ó£¬µç×èÆ«Ð¡£¬¹ÊӦѡÓÃСµµÎ»£»»»µ²ºóÓ¦¸ÃÖØÐÂУÁ㣬ÔÙ¶ÁÊý£»
£¨2£©ÂÝÐý²â΢Æ÷¶ÁÊýÓ¦¸ÃΪ£º¹Ì¶¨¿Ì¶È¶ÁÊý+°ë¿Ì¶È¶ÁÊý+¿É¶¯¿Ì¶È¶ÁÊý£»
£¨3£©µçѹ±í¸ÄװΪ´®Áª·Öѹµç×裬¸ù¾ÝÅ·Ä·¶¨ÂɽøÐмÆË㣻
£¨4£©ÎªµÃµ½½Ï´óµÄµçѹµ÷½Ú·¶Î§£¬»¬¶¯±ä×èÆ÷Ó÷Öѹʽ½Ó·¨£»ÓÉÓÚ´ý²âµç×èµÄµç×èÖµ½ÏС£¬¸ù¾Ý¡°Ð¡ÍâÆ«Ð¡¡±µÄ¹æÂÉ£¬ÓõçÁ÷±íÍâ½Ó·¨£»
£¨5£©¸ù¾ÝÅ·Ä·¶¨ÂɼÆËã³öµç×裬ÔÙ¸ù¾Ýµç×趨ÂɼÆËãµç×èÂÊ£®
½â´ð£º½â£º£¨1£©Å·Ä·±íÖ¸ÕëÆ«×ª½Ç¶È´ó£¬µçÁ÷´ó£¬µç×èÆ«Ð¡£¬¹ÊӦѡÓÃ×1µµÎ»£»
»»µ²ºóÓ¦¸ÃÖØÐÂУÁ㣬ÔÙ¶ÁÊý£¬¶ÁÊýʱÓÃÅ·Ä·µµµÄ¿Ì¶ÈÅ̶ÁÊý³ËÒÔ±¶Âʼ´¿É£»
¹Ê´ð°¸Îª£º×1¦¸£¬Å·Ä·µ÷Á㣬15¦¸£®
£¨2£©ÂÝÐý²â΢Æ÷¶ÁÊýÓ¦¸ÃΪ£º¹Ì¶¨¿Ì¶È¶ÁÊý+°ë¿Ì¶È¶ÁÊý+¿É¶¯¿Ì¶È¶ÁÊý£»
¹Ì¶¨¿Ì¶È¶ÁÊýΪ£º0£»
°ë¿Ì¶È¶ÁÊýΪ£º0£»
¿É¶¯¿Ì¶È¶ÁÊýΪ£º0.01mm×26.6=0.266mm£»
¹Ê¶ÁÊýΪ0.266mm£»
¹Ê´ð°¸Îª£º0.265¡«0.268£®
£¨3£©±íÍ·¸ÄװΪµçѹ±íÓ¦¸Ã´®Áª·Öѹµç×裬¸ù¾ÝÅ·Ä·¶¨ÂÉ
R=
¹Ê´ð°¸Îª£º880£®
£¨4£©ÈçͼËùʾ£º

£¨5£©Í¨¹ý´ý²âµç×èµÄµçÁ÷Ϊ£ºI=I2-I1
´ý²âµç×èÁ½¶ËµÄµçѹΪ£ºU=I1£¨Rg+R£©
¸ù¾ÝÅ·Ä·¶¨ÂÉÓÐ

¸ù¾Ýµç×趨ÂÉ£¬ÓÐ

½âµÃ

¹Ê´ð°¸Îª£º
£®
µãÆÀ£º±¾Ìâ¹Ø¼üÊÇ£º£¨1£©»áÓÃÅ·Ä·±í³õ²âµç×裻£¨2£©»áÓ÷ü°²·¨²âµç×裻£¨3£©»áÓõç×趨ÂɼÆËãµç×èÂÊ£»£¨4£©»áÓÃÂÝÐý²â΢Æ÷²âÁ¿³¤¶È£®
£¨2£©ÂÝÐý²â΢Æ÷¶ÁÊýÓ¦¸ÃΪ£º¹Ì¶¨¿Ì¶È¶ÁÊý+°ë¿Ì¶È¶ÁÊý+¿É¶¯¿Ì¶È¶ÁÊý£»
£¨3£©µçѹ±í¸ÄװΪ´®Áª·Öѹµç×裬¸ù¾ÝÅ·Ä·¶¨ÂɽøÐмÆË㣻
£¨4£©ÎªµÃµ½½Ï´óµÄµçѹµ÷½Ú·¶Î§£¬»¬¶¯±ä×èÆ÷Ó÷Öѹʽ½Ó·¨£»ÓÉÓÚ´ý²âµç×èµÄµç×èÖµ½ÏС£¬¸ù¾Ý¡°Ð¡ÍâÆ«Ð¡¡±µÄ¹æÂÉ£¬ÓõçÁ÷±íÍâ½Ó·¨£»
£¨5£©¸ù¾ÝÅ·Ä·¶¨ÂɼÆËã³öµç×裬ÔÙ¸ù¾Ýµç×趨ÂɼÆËãµç×èÂÊ£®
½â´ð£º½â£º£¨1£©Å·Ä·±íÖ¸ÕëÆ«×ª½Ç¶È´ó£¬µçÁ÷´ó£¬µç×èÆ«Ð¡£¬¹ÊӦѡÓÃ×1µµÎ»£»
»»µ²ºóÓ¦¸ÃÖØÐÂУÁ㣬ÔÙ¶ÁÊý£¬¶ÁÊýʱÓÃÅ·Ä·µµµÄ¿Ì¶ÈÅ̶ÁÊý³ËÒÔ±¶Âʼ´¿É£»
¹Ê´ð°¸Îª£º×1¦¸£¬Å·Ä·µ÷Á㣬15¦¸£®
£¨2£©ÂÝÐý²â΢Æ÷¶ÁÊýÓ¦¸ÃΪ£º¹Ì¶¨¿Ì¶È¶ÁÊý+°ë¿Ì¶È¶ÁÊý+¿É¶¯¿Ì¶È¶ÁÊý£»
¹Ì¶¨¿Ì¶È¶ÁÊýΪ£º0£»
°ë¿Ì¶È¶ÁÊýΪ£º0£»
¿É¶¯¿Ì¶È¶ÁÊýΪ£º0.01mm×26.6=0.266mm£»
¹Ê¶ÁÊýΪ0.266mm£»
¹Ê´ð°¸Îª£º0.265¡«0.268£®
£¨3£©±íÍ·¸ÄװΪµçѹ±íÓ¦¸Ã´®Áª·Öѹµç×裬¸ù¾ÝÅ·Ä·¶¨ÂÉ
R=
¹Ê´ð°¸Îª£º880£®
£¨4£©ÈçͼËùʾ£º
£¨5£©Í¨¹ý´ý²âµç×èµÄµçÁ÷Ϊ£ºI=I2-I1
´ý²âµç×èÁ½¶ËµÄµçѹΪ£ºU=I1£¨Rg+R£©
¸ù¾ÝÅ·Ä·¶¨ÂÉÓÐ
¸ù¾Ýµç×趨ÂÉ£¬ÓÐ
½âµÃ
¹Ê´ð°¸Îª£º
µãÆÀ£º±¾Ìâ¹Ø¼üÊÇ£º£¨1£©»áÓÃÅ·Ä·±í³õ²âµç×裻£¨2£©»áÓ÷ü°²·¨²âµç×裻£¨3£©»áÓõç×趨ÂɼÆËãµç×èÂÊ£»£¨4£©»áÓÃÂÝÐý²â΢Æ÷²âÁ¿³¤¶È£®
Á·Ï°²áϵÁдð°¸
Ïà¹ØÌâÄ¿