题目内容

(15分)如图所示,在竖直方向上A、B物体通过劲度系数为k的轻质弹簧相连,A放在水平地面上,B、C两物体通过细绳绕过光滑轻质定滑轮相连,C放在固定的光滑斜面上,斜面倾角为30°,用手按住C,使细绳刚刚拉直但无拉力作用,并保证ab段的细绳竖直、cd段的细绳与斜面平行。已知A、B的质量分别为m1、m2,C的质量为2m,重力加速度为g,细绳与滑轮之间的摩擦力不计,开始时整个系统处于静止状态,释放C后它沿斜面下滑,斜面足够长,且物体A恰不离开地面。求:

(1)物体A恰不离开地面时,物体C下降的高度;

(2)其他条件不变,若把物体C换为质量为2(m+△m)的物体D,释放D后它沿斜面下滑,当A恰不离开地面时,物体B的速度为多大?

 

【答案】

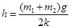
(1)(2)

【解析】

试题分析:(1)初始整个系统处于静止状态,以物体B为研究对象可知,弹簧处于压缩状态,则:

         (2分)

当物体A恰不离开地面时,以物体A为研究对象可知,弹簧处于伸长状态,则:

         (2分)

因而物体C下降的高度为:           (1分)

联立解得:         (2分)

(2)物体C沿斜面下滑,当物体A恰不离开地面时,物体C的速度为零,以物体C、B和弹簧整体为研究对象,根据机械能守恒定律可知:

          (3分)

把物体C换为物体D后,当物体A恰不离开地面时,此时物体D和物体B的速度大小相等,以物体D、B和弹簧整体为研究对象,根据机械能守恒定律可知:

(3分)

联立解得物体B的速度大小为          (2分)

考点:共点力平衡、胡克定律、机械能守恒定律

 

练习册系列答案
相关题目

违法和不良信息举报电话:027-86699610 举报邮箱:58377363@163.com

精英家教网