题目内容
如图所示,在粗糙水平面上固定一点电荷Q,在M点无初速度释放一带有恒定电量的小物块,小物块在Q的电场中运动到N点静止,则从M点运动到N点的过程中( )A.小物块所受电场力逐渐减小
B.小物块具有的电势能逐渐减小
C.M点的电势一定高于N点的电势
D.小物块电势能变化量的大小一定等于克服摩擦力做的功
【答案】分析:解决本题需要掌握:正确利用库伦定律判断库仑力大小的变化;根据电场力做功判断电势能的变化;掌握如何判断电势的高低;正确利用功能关系分析物体功能的变化.
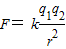
解答:解:A、由于物块离电荷越来越远,根据
可知小物块所受电场力越来越小,故A正确;
B、由于小物块由静止开始运动,因此一定受到库伦斥力作用,所以电场力对其做正功,电势能减小,故B正确;
C、由题只能判断物块和点电荷Q带同种电荷,而不能确定点电荷Q的电性,故不能判断M和N点电势的高低,故C错误;
D、由于小物块始末动能都为零,因此动能没有变化,故电场力所做正功和克服摩擦力做功相等,即电势能的变化和克服摩擦力做功相等,故D正确.
故选ABD.
点评:本题考察知识点较多,有一定的综合性,平时要注意概念的理解,如电势高低判断,电势能变化和电场力做功关系,功能关系的应用等.
解答:解:A、由于物块离电荷越来越远,根据
B、由于小物块由静止开始运动,因此一定受到库伦斥力作用,所以电场力对其做正功,电势能减小,故B正确;
C、由题只能判断物块和点电荷Q带同种电荷,而不能确定点电荷Q的电性,故不能判断M和N点电势的高低,故C错误;
D、由于小物块始末动能都为零,因此动能没有变化,故电场力所做正功和克服摩擦力做功相等,即电势能的变化和克服摩擦力做功相等,故D正确.
故选ABD.
点评:本题考察知识点较多,有一定的综合性,平时要注意概念的理解,如电势高低判断,电势能变化和电场力做功关系,功能关系的应用等.
练习册系列答案
相关题目
| A、小物块所受电场力逐渐增大 | B、小物块具有的电势能逐渐增大 | C、M点的电势可能高于N点的电势 | D、小物块电势能变化量的大小一定等于克服摩擦力做的功 |
A、
| ||||
| B、f | ||||
C、
| ||||
| D、2 f |
| A、物块斜面体之的间摩擦力大小为μmgcosθ | B、水平地面对斜面体的摩擦力方向水平向右 | C、水平地面对斜面体的摩擦力方向水平向左 | D、斜面体与水平地面没有摩擦力的作用 |