ÌâÄ¿ÄÚÈÝ

ij̽¾¿ÐÔѧϰС×éÓû̽¾¿¹â»¬Ð±ÃæÉÏÎïÌåµÄ¼ÓËÙ¶ÈÓëÎïÌåÖÊÁ¿¼°Ð±ÃæÇã½ÇÊÇ·ñÓйء£ÊµÑéÊÒÌṩÈçÏÂÆ÷²Ä£º

A£®±íÃæ¹â»¬µÄ³¤Ä¾°å(³¤¶ÈΪL)£¬

B£®Ð¡³µ£¬

C£®ÖÊÁ¿ÎªmµÄ¹³ÂëÈô¸É¸ö£¬

D£®·½Ä¾¿é(±¸ÓÃÓÚµæÄ¾°å)£¬

(E)Ã׳ߣ¬

(F)Ãë±í¡£

(1)ʵÑé¹ý³Ì£º

µÚÒ»²½£¬ÔÚ±£³ÖÐ±ÃæÇã½Ç²»±äʱ£¬Ì½¾¿¼ÓËÙ¶ÈÓëÖÊÁ¿µÄ¹ØÏµ¡£

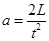
ʵÑéÖУ¬Í¨¹ýÏòС³µ·ÅÈë¹³ÂëÀ´¸Ä±äÎïÌåÖÊÁ¿£¬Ö»Òª²â³öС³µÓÉÐ±Ãæ¶¥¶Ë»¬ÖÁµ×¶ËËùÓÃʱ¼ät£¬¾Í¿ÉÒÔÓɹ«Ê½a=      Çó³öa¡£Ä³Í¬Ñ§¼Ç¼ÁËÊý¾ÝÈçÉϱíËùʾ£º

¸ù¾ÝÒÔÉÏÐÅÏ¢£¬ÎÒÃÇ·¢ÏÖ£¬ÔÚʵÑéÎó²î·¶Î§ÄÚÖÊÁ¿¸Ä±äÖ®ºóƽ¾ùÏ»¬Ê±¼ä      (Ìî¡°¸Ä±ä¡±»ò¡°²»¸Ä±ä¡±)£¬¾­¹ý·ÖÎöµÃ³ö¼ÓËÙ¶ÈÓëÖÊÁ¿µÄ¹ØÏµÎª            ¡£

µÚ¶þ²½£¬ÔÚÎïÌåÖÊÁ¿²»±äʱ£¬Ì½¾¿¼ÓËÙ¶ÈÓëÇã½ÇµÄ¹ØÏµ¡£

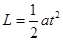
ʵÑéÖÐͨ¹ý¸Ä±ä·½Ä¾¿éµæ·ÅλÖÃÀ´µ÷Õû³¤Ä¾°åµÄÇã½Ç£¬ÓÉÓÚûÓÐÁ¿½ÇÆ÷£¬Òò´Ëͨ¹ý²âÁ¿³öľ°å¶¥¶Ëµ½Ë®Æ½Ãæ¸ß¶Èh£¬Çó³öÇã½Ç¦ÁµÄÕýÏÒÖµsin¦Á=h£¯L¡£Ä³Í¬Ñ§¼Ç¼Á˸߶ȺͼÓËٶȵĶÔÓ¦Öµ£¬²¢ÔÚ×ø±êÖ½ÉϽ¨Á¢Êʵ±µÄ×ø±êÖáºóÃèµã×÷ͼÈçÏ£¬Çë¸ù¾ÝËûËù×÷µÄͼÏßÇó³öµ±µØµÄÖØÁ¦¼ÓËÙ¶Èg=      m£¯s2¡£½øÒ»²½·ÖÎö¿ÉÖª£¬¹â»¬Ð±ÃæÉÏÎïÌåÏ»¬µÄ¼ÓËÙ¶ÈÓëÇã½ÇµÄ¹ØÏµÎª        ¡£

 

¡¾´ð°¸¡¿

£¨1£©²»¸Ä±ä Ð¡³µµÄ¼ÓËÙ¶ÈÓëС³µµÄÖÊÁ¿Î޹ؠg£½10m/s2  a£½gsina

¡¾½âÎö¡¿

ÊÔÌâ·ÖÎö£ºÓÉÓÚС³µÑØÇãбľ°å×ö³õËÙΪÁãµÄÔȼÓËÙÔ˶¯£¬Ôò£¬µÃ£¬ÓɱíÖеÄÊý¾Ý¿ÉÖª£¬ÔڸıäС³µµÄÖÊÁ¿¹ý³ÌÖУ¬ÔÚʵÑéÎó²î·¶Î§ÄÚС³µÔ˶¯µÄʱ¼ä¼¸ºõ²»±ä£¬¹ÊС³µµÄ¼ÓËÙ¶ÈÓëС³µµÄÖÊÁ¿Î޹أ»µ±¦Á=30ºÊ±£¬¼ÓËÙ¶ÈΪ5m/s2£¬¹ÊÖØÁ¦¼ÓËÙ¶Èg£½10m/s2£¬ÓÉͼ¿ÉÖª£¬Ð¡³µµÄ¼ÓËÙ¶ÈÓëÇã½ÇµÄÕýÏÒÖµ³ÉÕý±È£¬¼´a£½gsina£»

¿¼µã£º¿¼²éÁË̽¾¿¹â»¬Ð±ÃæÉÏÎïÌåµÄ¼ÓËÙ¶ÈÓëÎïÌåÖÊÁ¿¼°Ð±ÃæÇã½ÇÊÇ·ñÓйØÊµÑé

µãÆÀ£ºÖ»ÓÐÃ÷È·ÁËʵÑéÔ­ÀíÒÔ¼°ÊµÑéµÄÊý¾Ý²âÁ¿£¬²ÅÄÜÃ÷È·¸÷ÏîʵÑé²Ù×÷µÄ¾ßÌ庬Ò壬ÕâµãÒªÔÚÆ½Ê±ÑµÁ·ÖмÓÇ¿Á·Ï°£¬Í¬Ê±Òª¼ÓÇ¿»ù±¾ÎïÀí¹æÂÉÔÚÎïÀíʵÑéÖеÄÓ¦ÓÃ

 

Á·Ï°²áϵÁдð°¸
Ïà¹ØÌâÄ¿
ij̽¾¿ÐÔѧϰС×éÓû̽¾¿¹â»¬Ð±ÃæÉÏÎïÌåµÄ¼ÓËÙ¶ÈÓëÎïÌåÖÊÁ¿¼°Ð±ÃæÇã½ÇÊÇ·ñÓйأ®ÊµÑéÊÒÌṩÈçÏÂÆ÷²Ä£º
£¨A£©±íÃæ¹â»¬µÄ³¤Ä¾°å£¨³¤¶ÈΪL£©£¬
£¨B£©Ð¡³µ£¬
£¨C£©ÖÊÁ¿ÎªmµÄ¹³ÂëÈô¸É¸ö£¬
£¨D£©·½Ä¾¿é£¨±¸ÓÃÓÚµæÄ¾°å£©£¬
£¨E£©Ã׳ߣ¬
£¨F£©Ãë±í£®
£¨1£©ÊµÑé¹ý³Ì£º
´ÎÊý/ʱ¼ä/ÖÊÁ¿ M M+m M+2m
1 1.42 1.41 1.42
2 1.40 1.42 1.39
3 1.41 1.38 1.42
µÚÒ»²½£¬ÔÚ±£³ÖÐ±ÃæÇã½Ç²»±äʱ£¬Ì½¾¿¼ÓËÙ¶ÈÓëÖÊÁ¿µÄ¹ØÏµ£®
ʵÑéÖУ¬Í¨¹ýÏòС³µ·ÅÈë¹³ÂëÀ´¸Ä±äÎïÌåÖÊÁ¿£¬Ö»Òª²â³öС³µÓÉÐ±Ãæ¶¥¶Ë»¬ÖÁµ×¶ËËùÓÃʱ¼ät£¬¾Í¿ÉÒÔÓɹ«Ê½a=
2L
t2
2L
t2
Çó³öa£®Ä³Í¬Ñ§¼Ç¼ÁËÊý¾ÝÈçÉϱíËùʾ£º
¸ù¾ÝÒÔÉÏÐÅÏ¢£¬ÎÒÃÇ·¢ÏÖ£¬ÔÚʵÑéÎó²î·¶Î§ÄÚÖÊÁ¿¸Ä±äÖ®ºóƽ¾ùÏ»¬Ê±¼ä
²»¸Ä±ä
²»¸Ä±ä
£¨Ìî¡°¸Ä±ä¡±»ò¡°²»¸Ä±ä¡±£©£¬¾­¹ý·ÖÎöµÃ³ö¼ÓËÙ¶ÈÓëÖÊÁ¿µÄ¹ØÏµÎª
Ð±ÃæÇã½ÇÒ»¶¨Ê±£¬¼ÓËÙ¶ÈÓëÎïÌåÖÊÁ¿ÎÞ¹Ø
Ð±ÃæÇã½ÇÒ»¶¨Ê±£¬¼ÓËÙ¶ÈÓëÎïÌåÖÊÁ¿ÎÞ¹Ø
£®
µÚ¶þ²½£¬ÔÚÎïÌåÖÊÁ¿²»±äʱ£¬Ì½¾¿¼ÓËÙ¶ÈÓëÇã½ÇµÄ¹ØÏµ£®ÊµÑéÖÐͨ¹ý¸Ä±ä·½Ä¾¿éµæ·ÅλÖÃÀ´µ÷Õû³¤Ä¾°åµÄÇã½Ç£¬ÓÉÓÚûÓÐÁ¿½ÇÆ÷£¬Òò´Ëͨ¹ý²âÁ¿³öľ°å¶¥¶Ëµ½Ë®Æ½Ãæ¸ß¶Èh£¬Çó³öÇ㠽ǦÁµÄÕýÏÒÖµsin¦Á=h/L£®Ä³Í¬Ñ§¼Ç¼Á˸߶ȺͼÓËٶȵĶÔÓ¦Öµ£¬²¢ÔÚ×ø±êÖ½ÉϽ¨Á¢Êʵ±µÄ×ø±êÖáºóÃèµã×÷ͼÈçÏ£¬Çë¸ù¾ÝËûËù×÷µÄͼÏßÇó³öµ±µØµÄÖØÁ¦¼ÓËÙ¶Èg=
10
10
m/s2£®½øÒ»²½·ÖÎö¿ÉÖª£¬¹â»¬Ð±ÃæÉÏÎïÌåÏ»¬µÄ¼ÓËÙ¶ÈÓëÇã½ÇµÄ¹ØÏµÎª
a=gsin¦Á
a=gsin¦Á
£®
¾«Ó¢¼Ò½ÌÍøÄ³Ì½¾¿ÐÔѧϰС×éÓû̽¾¿¹â»¬Ð±ÃæÉÏÎïÌåÏÂÓеļÓËÙ¶ÈÓëÎïÌåÖÊÁ¿¼°Ð±ÃæÇã½ÇÊÇ·ñÓйأ®ÊµÑéÊÒÌṩÈçÏÂÆ÷²Ä£º
A£®±íÃæ¹â»¬µÄ³¤Ä¾°å£¨³¤¶ÈΪL£©£»B£®Ð¡³µ£»C£®ÖÊÁ¿ÎªmµÄ¹³ÂëÈô¸É¸ö£»D£®·½Ä¾¿é£¨±¸ÓÃÓÚµæÄ¾°å£©£»E£®Ã׳ߣ»F£®Ãë±í£»
¾«Ó¢¼Ò½ÌÍø M M+m M+2m
1 1.42 1.41 1.42
2 1.40 1.42 1.39
3 1.41 1.38 1.42
£¨1£©ÊµÑé¹ý³Ì£º
µÚÒ»²½£¬ÔÚ±£³ÖÐ±ÃæÇã½Ç²»±äʱ£¬Ì½¾¿¼ÓËÙ¶ÈÓëÖÊÁ¿µÄ¹ØÏµ£®ÊµÑéÖУ¬Í¨¹ýÏòС³µ·ÅÈë¹³ÂëÀ´¸Ä±äÎïÌåÖÊÁ¿£¬Ö»Òª²â³öС³µÓÉÐ±Ãæ¶¥¶Ë»¬ÖÁµ×¶ËËùÓÃʱ¼ät£¬¾Í¿ÉÒÔÓɹ«Ê½a=
 
Çó³öa£®
ijͬѧ¼Ç¼ÁËÊý¾ÝÈç±íËùʾ£º
¸ù¾ÝÒÔÉÏÐÅÏ¢£¬ÎÒÃÇ·¢ÏÖ£¬ÔÚʵÑéÎó²î·¶Î§ÄÚÖÊÁ¿¸Ä±äÖ®ºóƽ¾ùÏ»¬Ê±¼ä
 
£¨Ìî¡°¸Ä±ä¡±»ò¡°²»¸Ä±ä¡±£©£¬¾­¹ý·ÖÎöµÃ³ö¼ÓËÙ¶ÈÓëÖÊÁ¿µÄ¹ØÏµÎª
 
£®
µÚ¶þ²½£¬ÔÚÎïÌåÖÊÁ¿²»±äʱ£¬Ì½¾¿¼ÓËÙ¶ÈÓëÇã½ÇµÄ¹ØÏµ£®ÊµÑéÖÐͨ¹ý¸Ä±ä·½Ä¾¿éµæ·ÅλÀ´µ÷Õû³¤Ä¾°åµÄÇã½Ç£¬ÓÉÓÚûÓÐÁ¿½ÇÆ÷£¬Òò´Ëͨ¹ý²âÁ¿³öľ°å¶¥¶Ëµ½Ë®Æ½Ãæ¸ß¶Èh£¬Çó³öÇã½Ç¦ÁµÄÕýÏÒÖµsin¦Á=h/L£®
ijͬѧ¼Ç¼Á˸߶ȺͼÓËٶȵĶÔÓ¦Öµ£¬²¢ÔÚ×ø±êÖ½ÉϽ¨Á¢Êʵ±µÄ×ø±êÖáºóÃèµã×÷ͼÈçÏ£¬Çë¸ù¾ÝËûËù×÷µÄͼÏßÇó³öµ±µØµÄÖØÁ¦¼ÓËÙ¶Èg=
 
m/s2£®½øÒ»²½·ÖÎö¿ÉÖª£¬¹â»¬Ð±ÃæÉÏÎïÌåÏ»¬µÄ¼ÓËÙ¶ÈÓëÇã½ÇµÄ¹ØÏµÎª
 
£®
£¨2£©¸ÃʵÑéС×éËù²ÉÓõÄ̽¾¿·½·¨ÊÇ
 
£®
¾«Ó¢¼Ò½ÌÍøÄ³Ì½¾¿ÐÔѧϰС×éÓû̽¾¿¹â»¬Ð±ÃæÉÏÎïÌåÏ»¬Ê±µÄ¼ÓËÙ¶ÈÓëÎïÌåÖÊÁ¿¼°Ð±ÃæÇã½ÇÊÇ·ñÓйأ®ÊµÑéÊÒÌṩÈçÏÂÆ÷²Ä£º
A£®±íÃæ¹â»¬µÄ³¤Ä¾°å£¨³¤¶ÈΪL£©£»
B£®Ð¡³µ£»
C£®ÖÊÁ¿ÎªmµÄ¹³ÂëÈô¸É¸ö£»
D£®·½Ä¾¿é£¨±¸ÓÃÓÚµæÄ¾°å£©£»
E£®Ã׳ߣ»
F£®Ãë±í£»
ÖÊÁ¿
ʱ¼ä
´ÎÊý
M M+m  
1 1.42 1.41 1.42
2 1.40 1.42 1.39
3 1.41 1.38 1.42
£¨1£©ÊµÑé¹ý³Ì£º
µÚÒ»²½£¬ÔÚ±£³ÖÐ±ÃæÇã½Ç²»±äʱ£¬Ì½¾¿¼ÓËÙ¶ÈÓëÖÊÁ¿µÄ¹ØÏµ£®ÊµÑéÖУ¬Í¨¹ýÏòС³µ·ÅÈë¹³ÂëÀ´¸Ä±äÎïÌåÖÊÁ¿£¬Ö»Òª²â³öС³µÓÉÐ±Ãæ¶¥¶Ë»¬ÖÁµ×¶ËËùÓÃʱ¼ät£¬¾Í¿ÉÒÔÓɹ«Ê½a=
 
Çó³öa£®Ä³Í¬Ñ§¼Ç¼ÁËÊý¾ÝÈçÉϱíËùʾ£º¸ù¾ÝÒÔÉÏÐÅÏ¢£¬ÎÒÃÇ·¢ÏÖ£¬ÔÚʵÑéÎó²î·¶Î§ÄÚÖÊÁ¿¸Ä±äÖ®ºóƽ¾ùÏ»¬Ê±¼ä
 
 £¨Ìî¡°¸Ä±ä¡±»ò¡°²»¸Ä±ä¡±£©£¬¾­¹ý·ÖÎöµÃ³ö¼ÓËÙ¶ÈÓëÖÊÁ¿µÄ¹ØÏµÎª
 
£®
µÚ¶þ²½£¬ÔÚÎïÌåÖÊÁ¿²»±äʱ£¬Ì½¾¿¼ÓËÙ¶ÈÓëÇã½ÇµÄ¹ØÏµ£®ÊµÑéÖÐͨ¹ý¸Ä±ä·½Ä¾¿éµæ·Åλ¡¡À´µ÷Õû³¤Ä¾°åµÄÇã½Ç£¬
ÓÉÓÚûÓÐÁ¿½ÇÆ÷£¬Òò´Ëͨ¹ý²âÁ¿³öľ°å¶¥¶Ëµ½Ë®Æ½Ãæ¸ß¶Èh£¬Çó³öÇã½Ç¦ÁµÄÕýÏÒÖµsin¦Á=
h
L
£®Ä³Í¬Ñ§¼Ç¼Á˸߶ȺͼÓËٶȵĶÔÓ¦Öµ£¬²¢ÔÚ×ø±êÖ½ÉϽ¨Á¢Êʵ±µÄ×ø±êÖáºóÃèµã×÷ͼÈçͼ£¬Çë¸ù¾ÝËûËù×÷µÄͼÏßÇó³öµ±µØµÄÖØÁ¦¼ÓËÙ¶Èg=
 
m/s2£®½øÒ»²½·ÖÎö¿ÉÖª£¬¹â»¬Ð±ÃæÉÏÎïÌåÏ»¬µÄ¼ÓËÙ¶ÈÓëÇã½ÇµÄ¹ØÏµÎª
 
£®
£¨2£©¸ÃʵÑéС×éËù²ÉÓõÄ̽¾¿·½·¨ÊÇ
 
£®

ij̽¾¿ÐÔѧϰС×éÓû̽¾¿¹â»¬Ð±ÃæÉÏÎïÌåµÄ¼ÓËÙ¶ÈÓëÎïÌåÖÊÁ¿¼°Ð±ÃæÇã½ÇÊÇ·ñÓйء£ÊµÑéÊÒÌṩÈçÏÂÆ÷²Ä£º

A£®±íÃæ¹â»¬µÄ³¤Ä¾°å(³¤¶ÈΪL)£¬
B£®Ð¡³µ£¬
C£®ÖÊÁ¿ÎªmµÄ¹³ÂëÈô¸É¸ö£¬
D£®·½Ä¾¿é(±¸ÓÃÓÚµæÄ¾°å)£¬
(E)Ã׳ߣ¬
(F)Ãë±í¡£
(1)ʵÑé¹ý³Ì£º
µÚÒ»²½£¬ÔÚ±£³ÖÐ±ÃæÇã½Ç²»±äʱ£¬Ì½¾¿¼ÓËÙ¶ÈÓëÖÊÁ¿µÄ¹ØÏµ¡£
ʵÑéÖУ¬Í¨¹ýÏòС³µ·ÅÈë¹³ÂëÀ´¸Ä±äÎïÌåÖÊÁ¿£¬Ö»Òª²â³öС³µÓÉÐ±Ãæ¶¥¶Ë»¬ÖÁµ×¶ËËùÓÃʱ¼ät£¬¾Í¿ÉÒÔÓɹ«Ê½a=      Çó³öa¡£Ä³Í¬Ñ§¼Ç¼ÁËÊý¾ÝÈçÉϱíËùʾ£º
¸ù¾ÝÒÔÉÏÐÅÏ¢£¬ÎÒÃÇ·¢ÏÖ£¬ÔÚʵÑéÎó²î·¶Î§ÄÚÖÊÁ¿¸Ä±äÖ®ºóƽ¾ùÏ»¬Ê±¼ä      (Ìî¡°¸Ä±ä¡±»ò¡°²»¸Ä±ä¡±)£¬¾­¹ý·ÖÎöµÃ³ö¼ÓËÙ¶ÈÓëÖÊÁ¿µÄ¹ØÏµÎª            ¡£
µÚ¶þ²½£¬ÔÚÎïÌåÖÊÁ¿²»±äʱ£¬Ì½¾¿¼ÓËÙ¶ÈÓëÇã½ÇµÄ¹ØÏµ¡£

ʵÑéÖÐͨ¹ý¸Ä±ä·½Ä¾¿éµæ·ÅλÖÃÀ´µ÷Õû³¤Ä¾°åµÄÇã½Ç£¬ÓÉÓÚûÓÐÁ¿½ÇÆ÷£¬Òò´Ëͨ¹ý²âÁ¿³öľ°å¶¥¶Ëµ½Ë®Æ½Ãæ¸ß¶Èh£¬Çó³öÇã½Ç¦ÁµÄÕýÏÒÖµsin¦Á=h£¯L¡£Ä³Í¬Ñ§¼Ç¼Á˸߶ȺͼÓËٶȵĶÔÓ¦Öµ£¬²¢ÔÚ×ø±êÖ½ÉϽ¨Á¢Êʵ±µÄ×ø±êÖáºóÃèµã×÷ͼÈçÏ£¬Çë¸ù¾ÝËûËù×÷µÄͼÏßÇó³öµ±µØµÄÖØÁ¦¼ÓËÙ¶Èg=      m£¯s2¡£½øÒ»²½·ÖÎö¿ÉÖª£¬¹â»¬Ð±ÃæÉÏÎïÌåÏ»¬µÄ¼ÓËÙ¶ÈÓëÇã½ÇµÄ¹ØÏµÎª        ¡£

ij̽¾¿ÐÔѧϰС×éÓû̽¾¿¹â»¬Ð±ÃæÉÏÎïÌåµÄ¼ÓËÙ¶ÈÓëÎïÌåÖÊÁ¿¼°Ð±ÃæÇã½ÇÊÇ·ñÓйء£ÊµÑéÊÒÌṩÈçÏÂÆ÷²Ä£º

£¨A£©±íÃæ¹â»¬µÄ³¤Ä¾°å£¨³¤¶ÈΪL£©£¬

£¨B£©Ð¡³µ£¬

£¨C£©ÖÊÁ¿ÎªmµÄ¹³ÂëÈô¸É¸ö£¬

£¨D£©·½Ä¾¿é£¨±¸ÓÃÓÚµæÄ¾°å£©£¬

£¨E£©Ã׳ߣ¬

£¨F£©Ãë±í¡£

£¨1£©ÊµÑé¹ý³Ì£º

µÚÒ»²½£¬ÔÚ±£³ÖÐ±ÃæÇã½Ç²»±äʱ£¬Ì½¾¿¼ÓËÙ¶ÈÓëÖÊÁ¿µÄ¹ØÏµ¡£

ʵÑéÖУ¬Í¨¹ýÏòС³µ·ÅÈë¹³ÂëÀ´¸Ä±äÎïÌåÖÊÁ¿£¬Ö»Òª²â³öС³µÓÉÐ±Ãæ¶¥¶Ë»¬ÖÁµ×¶ËËùÓÃʱ¼ät£¬¾Í¿ÉÒÔÓɹ«Ê½a£½__________Çó³öa¡£Ä³Í¬Ñ§¼Ç¼ÁËÊý¾ÝÈçÉϱíËùʾ£º

¸ù¾ÝÒÔÉÏÐÅÏ¢£¬ÎÒÃÇ·¢ÏÖ£¬ÔÚʵÑéÎó²î·¶Î§ÄÚÖÊÁ¿¸Ä±äÖ®ºóƽ¾ùÏ»¬Ê±¼ä__________£¨Ìî¡°¸Ä±ä¡±»ò¡°²»¸Ä±ä¡±£©£¬¾­¹ý·ÖÎöµÃ³ö¼ÓËÙ¶ÈÓëÖÊÁ¿µÄ¹ØÏµÎª__________¡£

µÚ¶þ²½£¬ÔÚÎïÌåÖÊÁ¿²»±äʱ£¬Ì½¾¿¼ÓËÙ¶ÈÓëÇã½ÇµÄ¹ØÏµ¡£ÊµÑéÖÐͨ¹ý¸Ä±ä·½Ä¾¿éµæ·ÅλÖÃÀ´µ÷Õû³¤Ä¾°åµÄÇã½Ç£¬ÓÉÓÚûÓÐÁ¿½ÇÆ÷£¬Òò´Ëͨ¹ý²âÁ¿³öľ°å¶¥¶Ëµ½Ë®Æ½Ãæ¸ß¶Èh£¬Çó³öÇã ½ÇaµÄÕýÏÒÖµsina£½h/L¡£Ä³Í¬Ñ§¼Ç¼Á˸߶ȺͼÓËٶȵĶÔÓ¦Öµ£¬²¢ÔÚ×ø±êÖ½ÉϽ¨Á¢Êʵ±µÄ×ø±êÖáºóÃèµã×÷ͼÈçÏ£¬Çë¸ù¾ÝËûËù×÷µÄͼÏßÇó³öµ±µØµÄÖØÁ¦¼ÓËÙ¶Èg£½__________m/s2¡£½øÒ»²½·ÖÎö¿ÉÖª£¬¹â»¬Ð±ÃæÉÏÎïÌåÏ»¬µÄ¼ÓËÙ¶ÈÓëÇã½ÇµÄ¹ØÏµÎª__________¡£

 

Î¥·¨ºÍ²»Á¼ÐÅÏ¢¾Ù±¨µç»°£º027-86699610 ¾Ù±¨ÓÊÏ䣺58377363@163.com

¾«Ó¢¼Ò½ÌÍø