题目内容
(1)电路的路端电压;
(2)电动机输出的机械功率.
【答案】分析:(1)路端电压等于R2的电压,根据R2消耗的功率即可求解电压;
(2)当开关闭合时,知道电动机两端的电压,就可知道电阻R1的电压,从而知道该支路的电流,有PM=UI可求电动机输入功率,有P耗=I2R3可求出电动机内阻消耗功率,从而求出电动机消耗的功率.
解答:解:(1)路端电压等于R2的电压,由P=
解得:U=6V
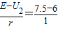
(2)电源电动势E=U2+Ir
解得:干路电流为:
=1.5A
通过R2的电流I2=
=
A=0.5 A
通过电动机的电流I1=I-I2=1.0 A
电动机的输出功率P=I1U1-
R
由此得P=1.0×4 W-1.02×0.50W=3.5 W
答:(1)电路的路端电压为6V;
(2)电动机输出的机械功率为3.5W.
点评:本题要求学生能通过电路中开关的通断得出正确的电路图,并能灵活应用串并联电路的规律及欧姆定律求解.
(2)当开关闭合时,知道电动机两端的电压,就可知道电阻R1的电压,从而知道该支路的电流,有PM=UI可求电动机输入功率,有P耗=I2R3可求出电动机内阻消耗功率,从而求出电动机消耗的功率.
解答:解:(1)路端电压等于R2的电压,由P=
(2)电源电动势E=U2+Ir
解得:干路电流为:
通过R2的电流I2=
通过电动机的电流I1=I-I2=1.0 A
电动机的输出功率P=I1U1-
由此得P=1.0×4 W-1.02×0.50W=3.5 W
答:(1)电路的路端电压为6V;
(2)电动机输出的机械功率为3.5W.
点评:本题要求学生能通过电路中开关的通断得出正确的电路图,并能灵活应用串并联电路的规律及欧姆定律求解.
练习册系列答案
相关题目
