题目内容
一质点做匀加速直线运动,第三秒内的位移是8m,第四秒内的位移是10m,那么由此可知( )A.这两秒内平均速度是9m/s
B.第三秒末即时速度是9m/s
C.质点的加速度是0.5m/s2
D.质点的加速度是2m/s2
【答案】分析:主要考查匀变速直线运动的规律:
(1)
=
(2)△x=aT2(设初速度为v连续相等的时间为T,则第一个T内的位移为:
,第二个T内的位移为
即
(3)
=
解答:解:由题意知质点做匀加速直线运动,故有:
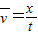
A、据平均速度公式
得这两秒内的平均速度
,故A正确
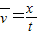
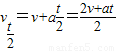
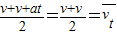
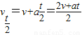
B、据
(∵v=v+at∴
=
)=
=9m/s,故B正确
C、匀变速直线运动在连续相等的时间内的位移差为一常量即△x=aT2其中T为连续相等的时间,△x为连续相等时间内的位移差,则:
,故C错误
D、由C分析得a=2m/s2,故D正确
故选ABD
点评:考查匀变速直线运动的一些基本规律,掌握匀变速直线运动的规律再来处理问题显得比较简单.
(1)
(2)△x=aT2(设初速度为v连续相等的时间为T,则第一个T内的位移为:
(3)
解答:解:由题意知质点做匀加速直线运动,故有:
A、据平均速度公式
B、据
C、匀变速直线运动在连续相等的时间内的位移差为一常量即△x=aT2其中T为连续相等的时间,△x为连续相等时间内的位移差,则:
D、由C分析得a=2m/s2,故D正确
故选ABD
点评:考查匀变速直线运动的一些基本规律,掌握匀变速直线运动的规律再来处理问题显得比较简单.
练习册系列答案
相关题目