ÌâÄ¿ÄÚÈÝ
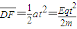
ÈçͼËùʾµÄÆ½ÃæÖ±½Ç×ø±êϵ£¬xÖáˮƽ£¬yÖáÊúÖ±£¬µÚÒ»ÏóÏÞÄÚÓдŸÐӦǿ¶È´óСΪB£¬·½Ïò´¹Ö±×ø±êÆ½ÃæÏòÍâµÄÔÈÇ¿´Å³¡£»µÚ¶þÏóÏÞÄÚÓÐÒ»¶ÔƽÐÐÓÚxÖá·ÅÖõĽðÊô°å£¬°å¼äÓÐÕý½»µÄÔÈÇ¿µç³¡ºÍÔÈÇ¿´Å³¡£¬µç³¡·½ÏòÑØyÖḺ·½Ïò£¬³¡Ç¿´óСδ֪£¬´Å³¡´¹Ö±×ø±êÆ½ÃæÏòÀ´Å¸ÐӦǿ¶È´óСҲΪB£»µÚËÄÏóÏÞÄÚÓÐÔÈÇ¿µç³¡£¬µç³¡·½ÏòÓëxÖáÕý·½Ïò³É45°½ÇбÏòÓÒÉÏ·½£¬³¡Ç¿´óСÓëÆ½ÐнðÊô°å¼äµÄ³¡Ç¿´óСÏàͬ£®ÏÖÓÐÒ»ÖÊÁ¿Îªm£¬µçºÉÁ¿ÎªqµÄÁ£×ÓÒÔijһ³õËٶȽøÈëÆ½ÐнðÊô°å£¬²¢Ê¼ÖÕÑØxÖáÕý·½ÏòÔ˶¯£¬Á£×Ó½øÈëµÚÒ»ÏóÏ޺󣬴ÓxÖáÉϵÄDµãÓëxÖáÕý·½Ïò³É45°½Ç½øÈëµÚËÄÏóÏÞ£¬MµãΪÁ£×ÓµÚ¶þ´Îͨ¹ýxÖáµÄλÖã®ÒÑÖªOD¾àÀëΪL£¬²»¼ÆÁ£×ÓÖØÁ¦£®Ç󣺣¨1£©Á£×ÓÔ˶¯µÄ³õËÙ¶È´óСºÍÔÈÇ¿µç³¡µÄ³¡Ç¿´óС£®
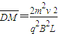
£¨2£©DM¼äµÄ¾àÀ룮£¨½á¹ûÓÃm¡¢q¡¢v¡¢LºÍB±íʾ£©
¡¾´ð°¸¡¿·ÖÎö£º£¨1£©¡¢´øµãÁ£×ÓÔÚµÚ¶þÏóÏ޵ĽðÊô°åÖ®¼äÔ˶¯Ê±£¬ÑØxÖáµÄÕý·½ÏòÔ˶¯£¬ËµÃ÷´øµçÁ£×ÓÔÚÊúÖ±·½ÏòÉÏÊÜÁ¦Æ½ºâ£¬¼´Êܵ½µÄµç³¡Á¦ºÍÂåÂ××ÈÁ¦´óСÏàµÈ£¬·½ÏòÏà·´£»´øµçÁ£×Ó½øÈëµÚÒ»ÏóÏÞºó£¬ÔÚÂåÂ××ÈÁ¦µÄ×÷ÓÃÏÂ×öÔ²ÖÜÔ˶¯£¬Óɼ¸ºÎ¹ØÏµÈ·¶¨Ô²ÐÄ£¬²¢Çó³ö¹ì¼£µÄ°ë¾¶£¬´øµçÁ£×Ó×öÔ²ÖÜÔ˶¯µÄÏòÐÄÁ¦ÊÇÂåÂ××ÈÁ¦£®×ÛÉÏËùÊö£¬ÁÐʽ¼´¿ÉÇó³ö´øµçÁ£×ӵijõËٶȺ͵糡ǿ¶ÈµÄ´óС£®
£¨2£©¡¢¾¶Ô´øµçÁ£×ÓµÄÊÜÁ¦Çé¿öºÍ³õËٶȵķÖÎö¿ÉÖª£¬´øµçÁ£×ÓÔÚµÚËÄÏóÏÞÄÚ×öÀàÆ½Å×Ô˶¯£¬°ÑÎ»ÒÆÑØ´¹Ö±Óڵ糡µÄ·½ÏòºÍÑØµç³¡µÄ·½Ïò½øÐзֽ⣬ÔÚÕâÁ½¸ö·½ÏòÉÏÓÉÔ˶¯Ñ§¹«Ê½ÁÐʽ£¬½áºÏ¼¸ºÎ¹ØÏµ£¬±ã¿ÉÇó³öDMµÄ¾àÀ룮
½â´ð£º½â£º
£¨1£©¡¢Á£×ÓÔÚ°å¼äÊܵ糡Á¦ºÍÂåÂ××ÈÁ¦×öÔÈËÙÖ±ÏßÔ˶¯£¬ÉèÁ£×Ó³õËÙ¶ÈΪv£¬ÓÉÆ½ºâÌõ¼þÓУº
qvB=qE¡¢Ù
Á£×ÓÔÚµÚÒ»ÏóÏÞÄÚ×öÔÈËÙÔ²ÖÜÔ˶¯£¬Ô²ÐÄΪO1£¬°ë¾¶ÎªR£¬¹ì¼£Èçͼ£¬
Óɼ¸ºÎ¹ØÏµÖª£º
¡¢Ú
ÓÉÅ£¶ÙµÚ¶þ¶¨ÂɺÍÔ²ÖÜÔ˶¯µÄÏòÐÄÁ¦¹«Ê½ÓУº
¡¢Û
ÓÉ¢Ú¢Ûʽ½âµÃ£º
¡¢Ü
ÓÉ¢Ù¢Üʽ½âµÃ£º
¡¢Ý
£¨2£©¡¢ÓÉÌâÒâ¿ÉÖª£¬Á£×Ó´ÓD½øÈëµÚËÄÏóÏÞºó×öÀàÆ½Å×Ô˶¯£¬¹ì¼£Èçͼ£¬ÉèÁ£×Ó´ÓDµ½MµÄÔ˶¯Ê±¼äΪt£¬½«Ô˶¯·Ö½âÔÚÑØ³¡Ç¿·½ÏòºÍ´¹Ö±ÓÚ³¡Ç¿µÄ·½ÏòÉÏ£¬ÔòÁ£×ÓÑØDG·½Ïò×öÔÈËÙÖ±ÏßÔ˶¯µÄÎ»ÒÆÎª£º
¡¢Þ
Á£×ÓÑØDF·½Ïò×öÔȼÓËÙÖ±ÏßÔ˶¯µÄÎ»ÒÆÎª£º
¡¢ß
Óɼ¸ºÎ¹ØÏµ¿ÉÖª£º
£¬
¡¢à
Óɢݢޢߢàʽ¿É½âµÃ£º
´ð£º£¨1£©Á£×ÓÔ˶¯µÄ³õËÙ¶È´óСºÍÔÈÇ¿µç³¡µÄ³¡Ç¿´óСΪ
£»
£¨2£©DM¼äµÄ¾àÀë
£®
µãÆÀ£º1¡¢´ËÀàÐ͵ÄÌâÊ×ÏÈÒª¶ÔÎïÌåµÄÔ˶¯½øÐзֶΣ¬È»ºó¶ÔÎïÌåÔÚ¸÷¶ÎÖнøÐÐÕýÈ·µÄÊÜÁ¦·ÖÎöºÍÔ˶¯µÄ·ÖÎö£¬½øÐÐÁÐʽÇó½â£®
2¡¢ÂåÂ××ÈÁ¦¶ÔµçºÉ²»×ö¹¦£¬Ö»ÊǸıäÔ˶¯µçºÉµÄÔ˶¯·½Ïò£¬²»¸Ä±äÔ˶¯µçºÉµÄËÙ¶È´óС£®
3¡¢´øµçÁ£×Ó×öÔÈËÙÔ²ÖÜÔ˶¯µÄÔ²ÐÄ¡¢°ë¾¶¼°Ô˶¯Ê±¼äµÄÈ·¶¨£º
¢Ù¡¢Ô²ÐĵÄÈ·¶¨£ºÒòΪÂåÂ××ÈÁ¦ÌṩÏòÐÄÁ¦£¬ËùÒÔÂåÂ××ÈÁ¦×ÜÊÇ´¹Ö±ÓÚËٶȵķ½Ïò£¬»³ö´øµçÁ£×ÓÔ˶¯¹ì¼£ÖÐÈÎÒâÁ½µã£¨Ò»°ãÊÇÉäÈë´Å³¡ºÍÉä³ö´Å³¡µÄÁ½µã£©ÂåÂ××ÈÁ¦µÄ·½Ïò£¬ÆäÑÓ³¤ÏߵĽ»µã¼´ÎªÔ²ÐÄ£®
¢Ú¡¢°ë¾¶µÄÈ·¶¨£º°ë¾¶Ò»°ã¶¼ÊÇÔÚÈ·¶¨Ô²ÐĵĻù´¡ÉÏÓÃÆ½Ã漸ºÎµÄ֪ʶÇó½â£¬³£³£Óõ½½âÈý½ÇÐΣ¬ÓÈÆäÊÇÖ±½ÇÈý½ÇÐΣ®
¢Û¡¢Ô˶¯Ê±¼äµÄÈ·¶¨£ºÀûÓÃÔ²ÐĽÇÓëÏÒÇнǵĹØÏµ»òÕßËıßÐεÄÄڽǺ͵ÈÓÚ360°¼ÆËã³öÁ£×ÓËù¾¹ýµÄÔ²ÐĽǦȵĴóС£¬Óù«Ê½
¿ÉÇó³öÔ˶¯Ê±¼ä£®
£¨2£©¡¢¾¶Ô´øµçÁ£×ÓµÄÊÜÁ¦Çé¿öºÍ³õËٶȵķÖÎö¿ÉÖª£¬´øµçÁ£×ÓÔÚµÚËÄÏóÏÞÄÚ×öÀàÆ½Å×Ô˶¯£¬°ÑÎ»ÒÆÑØ´¹Ö±Óڵ糡µÄ·½ÏòºÍÑØµç³¡µÄ·½Ïò½øÐзֽ⣬ÔÚÕâÁ½¸ö·½ÏòÉÏÓÉÔ˶¯Ñ§¹«Ê½ÁÐʽ£¬½áºÏ¼¸ºÎ¹ØÏµ£¬±ã¿ÉÇó³öDMµÄ¾àÀ룮
½â´ð£º½â£º
£¨1£©¡¢Á£×ÓÔÚ°å¼äÊܵ糡Á¦ºÍÂåÂ××ÈÁ¦×öÔÈËÙÖ±ÏßÔ˶¯£¬ÉèÁ£×Ó³õËÙ¶ÈΪv£¬ÓÉÆ½ºâÌõ¼þÓУº
qvB=qE¡¢Ù
Á£×ÓÔÚµÚÒ»ÏóÏÞÄÚ×öÔÈËÙÔ²ÖÜÔ˶¯£¬Ô²ÐÄΪO1£¬°ë¾¶ÎªR£¬¹ì¼£Èçͼ£¬
ÓÉÅ£¶ÙµÚ¶þ¶¨ÂɺÍÔ²ÖÜÔ˶¯µÄÏòÐÄÁ¦¹«Ê½ÓУº
ÓÉ¢Ú¢Ûʽ½âµÃ£º
ÓÉ¢Ù¢Üʽ½âµÃ£º
£¨2£©¡¢ÓÉÌâÒâ¿ÉÖª£¬Á£×Ó´ÓD½øÈëµÚËÄÏóÏÞºó×öÀàÆ½Å×Ô˶¯£¬¹ì¼£Èçͼ£¬ÉèÁ£×Ó´ÓDµ½MµÄÔ˶¯Ê±¼äΪt£¬½«Ô˶¯·Ö½âÔÚÑØ³¡Ç¿·½ÏòºÍ´¹Ö±ÓÚ³¡Ç¿µÄ·½ÏòÉÏ£¬ÔòÁ£×ÓÑØDG·½Ïò×öÔÈËÙÖ±ÏßÔ˶¯µÄÎ»ÒÆÎª£º
Á£×ÓÑØDF·½Ïò×öÔȼÓËÙÖ±ÏßÔ˶¯µÄÎ»ÒÆÎª£º
Óɼ¸ºÎ¹ØÏµ¿ÉÖª£º
Óɢݢޢߢàʽ¿É½âµÃ£º
´ð£º£¨1£©Á£×ÓÔ˶¯µÄ³õËÙ¶È´óСºÍÔÈÇ¿µç³¡µÄ³¡Ç¿´óСΪ
£¨2£©DM¼äµÄ¾àÀë
µãÆÀ£º1¡¢´ËÀàÐ͵ÄÌâÊ×ÏÈÒª¶ÔÎïÌåµÄÔ˶¯½øÐзֶΣ¬È»ºó¶ÔÎïÌåÔÚ¸÷¶ÎÖнøÐÐÕýÈ·µÄÊÜÁ¦·ÖÎöºÍÔ˶¯µÄ·ÖÎö£¬½øÐÐÁÐʽÇó½â£®
2¡¢ÂåÂ××ÈÁ¦¶ÔµçºÉ²»×ö¹¦£¬Ö»ÊǸıäÔ˶¯µçºÉµÄÔ˶¯·½Ïò£¬²»¸Ä±äÔ˶¯µçºÉµÄËÙ¶È´óС£®
3¡¢´øµçÁ£×Ó×öÔÈËÙÔ²ÖÜÔ˶¯µÄÔ²ÐÄ¡¢°ë¾¶¼°Ô˶¯Ê±¼äµÄÈ·¶¨£º
¢Ù¡¢Ô²ÐĵÄÈ·¶¨£ºÒòΪÂåÂ××ÈÁ¦ÌṩÏòÐÄÁ¦£¬ËùÒÔÂåÂ××ÈÁ¦×ÜÊÇ´¹Ö±ÓÚËٶȵķ½Ïò£¬»³ö´øµçÁ£×ÓÔ˶¯¹ì¼£ÖÐÈÎÒâÁ½µã£¨Ò»°ãÊÇÉäÈë´Å³¡ºÍÉä³ö´Å³¡µÄÁ½µã£©ÂåÂ××ÈÁ¦µÄ·½Ïò£¬ÆäÑÓ³¤ÏߵĽ»µã¼´ÎªÔ²ÐÄ£®
¢Ú¡¢°ë¾¶µÄÈ·¶¨£º°ë¾¶Ò»°ã¶¼ÊÇÔÚÈ·¶¨Ô²ÐĵĻù´¡ÉÏÓÃÆ½Ã漸ºÎµÄ֪ʶÇó½â£¬³£³£Óõ½½âÈý½ÇÐΣ¬ÓÈÆäÊÇÖ±½ÇÈý½ÇÐΣ®
¢Û¡¢Ô˶¯Ê±¼äµÄÈ·¶¨£ºÀûÓÃÔ²ÐĽÇÓëÏÒÇнǵĹØÏµ»òÕßËıßÐεÄÄڽǺ͵ÈÓÚ360°¼ÆËã³öÁ£×ÓËù¾¹ýµÄÔ²ÐĽǦȵĴóС£¬Óù«Ê½
Á·Ï°²áϵÁдð°¸
Ïà¹ØÌâÄ¿