题目内容

在如图所示的电路中,R1=2 Ω,R2=4 Ω,当电键Ka时,R2上消耗的电功率为4 W,当电键Kb时,电压表示数为4.5 V,试求:

(1)电键Ka时,通过电源的电流和电源两端的电压;

(2)电源的电动势和内电阻;

答案:
解析:

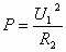
  解:(1)Ka时,R1被短路,外电阻为R2,根据电功率公式:

  

  得:A(2分)

  

  得:V(2分)

  (2)Ka时,有E=U1I1r=4+r①(2分)

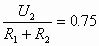
  Kb时,R1R2串联,R1R2=6 Ω

  通过电源电流I2A(2分)

  这时有:EU2I2r=4.5+0.75 r②(2分)

  由①②可得:E=6 V r=2 Ω(2分)


练习册系列答案
相关题目

违法和不良信息举报电话:027-86699610 举报邮箱:58377363@163.com

精英家教网