ÌâÄ¿ÄÚÈÝ

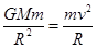
ΪÁË̽²âXÐÇÇò£¬ÔØ×ŵǽ²ÕµÄ̽²â·É´¬ÔÚÒÔ¸ÃÐÇÇòÖÐÐÄΪԲÐÄ£¬°ë¾¶Îªr1µÄÔ²¹ìµÀÉÏÔ˶¯£¬ÖÜÆÚΪT1£¬×ÜÖÊÁ¿Îªm1. ËæºóµÇ½²ÕÍÑÀë·É´¬£¬±ä¹ìµ½ÀëÐÇÇò¸ü½üµÄ°ë¾¶Îªr2µÄÔ²¹ìµÀÉÏÔ˶¯£¬´ËʱµÇ½²ÕµÄÖÊÁ¿Îªm2£¬Ôò£¨¡¡¡¡£©

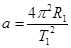
A.XÐÇÇòµÄÖÊÁ¿ÎªM=

B.XÐÇÇò±íÃæµÄÖØÁ¦¼ÓËÙ¶ÈΪgx=

C.µÇ½²ÕÔڰ뾶Ϊr2¹ìµÀÉÏ×öÔ²ÖÜÔ˶¯µÄÖÜÆÚΪ

D.µÇ½²ÕÔÚr1Óër2¹ìµÀÉÏÔ˶¯Ê±µÄËÙ¶È´óС֮±ÈΪ

 

¡¾´ð°¸¡¿

AC

¡¾½âÎö¡¿

ÊÔÌâ·ÖÎö£º·É´¬ÈÆÐÇÇò×öÔ²ÖÜÔ˶¯£¬ÍòÓÐÒýÁ¦ÌṩÏòÐÄÁ¦£¬£¬ÄÇôXÐÇÇòµÄÖÊÁ¿ÎªÑ¡ÏîA¶Ô¡£·É´¬µÄÏòÐļÓËÙ¶È£¬¶ø·É´¬²¢²»ÊÇÔÚÐÇÇò±íÃæ£¬ÏòÐļÓËٶȲ»ÊÇÖØÁ¦¼ÓËÙ¶ÈÑ¡ÏîB´í¡£¸ù¾Ý¿ªÆÕÀÕµÚÈý¶¨ÂÉ£¬Ñ¡ÏîC¶Ô¡££¬ÏßËÙ¶È£¬ËùÒÔÓÐÑ¡ÏîD´í¡£

¿¼µã£ºÍòÓÐÒýÁ¦Ó뺽Ìì

 

Á·Ï°²áϵÁдð°¸
Ïà¹ØÌâÄ¿

Î¥·¨ºÍ²»Á¼ÐÅÏ¢¾Ù±¨µç»°£º027-86699610 ¾Ù±¨ÓÊÏ䣺58377363@163.com

¾«Ó¢¼Ò½ÌÍø