题目内容
在投掷标枪的比赛中,运动员先要助跑一段距离,借助助跑速度投出标枪,技术动作比较复杂.为了研究最佳助跑距离,将这一过程简化为下面的理想模型:假定运动员先做匀加速运动,加速度为a1,投出标枪后立即做匀减速运动,加速度大小为a2,到投掷线时恰好停下.投掷动作瞬间完成,标枪水平投出,看成平抛运动,标枪相对运动员的出手速度是v,标枪出手高度为h,重力加速度为g.按照上面建立的理想模型,探究下面问题:(1)助跑过程中加速阶段与减速阶段距离之比.
(2)在上述条件一定的情况下,为了取得更好成绩,起跑点到投掷线的最佳距离.
【答案】分析:(1)加速阶段和减速阶段的最大速度相同,根据公式
,可得出加速阶段与减速阶段的距离之比.
(2)最终的成绩(有效距离)是标枪的水平位移减小运动员匀减速运动的位移.设运动员的最大速度v,列出有效距离关于v的表达式,求出有效距离最大时,运动员的最大速度,再根据运动学公式求出起跑点到投掷线的最佳距离.
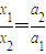
解答:解:(1)加速阶段的位移x1=
,减速阶段的位移x2=
.

故助跑过程中加速阶段与减速阶段距离之比a2:a1.
(2)设运动员的最大速度v,标枪平抛运动的时间为t,则运动员匀减速运动的位移为:
标枪的有效距离:x=
=
当v=a2t时,x有最大值.
标枪做平抛运动,h=
,
所以匀加速运动的位移x1=
,匀减速运动的位移x2=
.
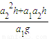
s=x1+x2=
+
=
故起跑点到投掷线的最佳距离为
.
点评:解决本题的关键是知道在助跑过程中加速和减速两个过程中最大速度相同.以及知道标枪的成绩是标枪平抛运动的水平位移减去运动员匀减速运动的位移,设最大速度,通过数学的二次函数求极值求出最大速度,从而求出起跑点到投掷线的最佳距离.
(2)最终的成绩(有效距离)是标枪的水平位移减小运动员匀减速运动的位移.设运动员的最大速度v,列出有效距离关于v的表达式,求出有效距离最大时,运动员的最大速度,再根据运动学公式求出起跑点到投掷线的最佳距离.
解答:解:(1)加速阶段的位移x1=
故助跑过程中加速阶段与减速阶段距离之比a2:a1.
(2)设运动员的最大速度v,标枪平抛运动的时间为t,则运动员匀减速运动的位移为:
标枪的有效距离:x=
当v=a2t时,x有最大值.
标枪做平抛运动,h=
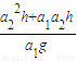
所以匀加速运动的位移x1=
s=x1+x2=
故起跑点到投掷线的最佳距离为
点评:解决本题的关键是知道在助跑过程中加速和减速两个过程中最大速度相同.以及知道标枪的成绩是标枪平抛运动的水平位移减去运动员匀减速运动的位移,设最大速度,通过数学的二次函数求极值求出最大速度,从而求出起跑点到投掷线的最佳距离.
练习册系列答案
相关题目