题目内容
取弹簧为原长时的弹性势能为0,关于发生弹性形变的弹簧的弹性势能,下列说法正确的是( )A.同一弹簧压缩2cm时、伸长2cm时所具有的弹性势能不相同
B.同一弹簧压缩2cm时、压缩4cm时所具有的弹性势能之比为1:2
C.劲度系数为k的弹簧、劲度系数为2k的弹簧都伸长2cm时所具有的弹性势能之比为1:2
D.弹簧被拉长时的弹性势能为正值,弹簧被压缩时的弹性势能为负值
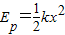
【答案】分析:发生弹性形变的物体的各部分之间,由于有弹力的相互作用,也具有势能,这种势能叫做弹性势能.同一弹性物体在一定范围内形变越大,具有的弹性势能就越多,反之,则越小;弹簧弹性势能的表达式为:
.
解答:解:A、弹簧弹性势能的表达式为:
,式中x为行变量,故同一弹簧压缩2cm时、伸长2cm时所具有的弹性势能相同,故A错误;
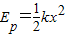
B、弹簧弹性势能的表达式为:
,式中x为行变量,故同一弹簧压缩2cm时、压缩4cm时所具有的弹性势能之比为1:4,故B错误;
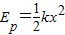
C、弹簧弹性势能的表达式为:
,式中x为行变量,故劲度系数为k的弹簧、劲度系数为2k的弹簧都伸长2cm时所具有的弹性势能之比为1:2,故C正确;
D、能量无负值,弹簧被拉长时的弹性势能为正值,弹簧被压缩时的弹性势能也为正值,故D错误;
故选C.
点评:比本题关键明确弹性势能的定义,会用弹簧弹性势能的表达式
进行分析,不难.
解答:解:A、弹簧弹性势能的表达式为:
B、弹簧弹性势能的表达式为:
C、弹簧弹性势能的表达式为:
D、能量无负值,弹簧被拉长时的弹性势能为正值,弹簧被压缩时的弹性势能也为正值,故D错误;
故选C.
点评:比本题关键明确弹性势能的定义,会用弹簧弹性势能的表达式
练习册系列答案
相关题目