ÌâÄ¿ÄÚÈÝ
ÔÚ¡°ÑéÖ¤»úеÄÜÊØºã¶¨ÂÉ¡±µÄʵÑéÖУ¬´òµã¼ÆÊ±Æ÷½ÓÔÚµçѹΪE£¬ÆµÂÊΪfµÄ½»Á÷µçÔ´ÉÏ£¬ÔÚʵÑéÖдòÏÂÒ»ÌõÀíÏëÖ½´ø£¬Èçͼ6Ëùʾ£¬Ñ¡È¡Ö½´øÉÏ´ò³öµÄÁ¬Ðø5¸öµãA¡¢B¡¢C¡¢D¡¢E£¬²â³öAµã¾àÆðʼµãµÄ¾àÀëΪso£¬µãAC¼äµÄ¾àÀëΪs1£¬µãCE¼äµÄ¾àÀëΪs2£¬ÒÑÖªÖØ´¸µÄÖÊÁ¿Îªm£¬µ±µØµÄÖØÁ¦¼ÓËÙ¶ÈΪg£¬Ôò£¨1£©ÆðʼµãOµ½´òÏÂCµãµÄ¹ý³ÌÖУ¬ÖØ´¸ÖØÁ¦ÊÆÄܵļõÉÙÁ¿Îª¡÷Ep=______£¬ÖØ´¸¶¯ÄܵÄÔö¼ÓÁ¿Îª¡÷Ek=______£®
£¨2£©¸ù¾ÝÌâÖÐÌṩµÄÌõ¼þ£¬¿ÉÇó³öÖØ´¸Êµ¼ÊÏÂÂäµÄ¼ÓËÙ¶Èa=______£®
¡¾´ð°¸¡¿·ÖÎö£º£¨1£©¸ù¾ÝÖØÁ¦ÊÆÄܱ仯Á¿¡÷EP=mgh£¬È·¶¨¸ß¶ÈhÇó½â£®ÓÉÔȱäËÙÖ±ÏßÔ˶¯µÄÍÆÂÛvn=
Çó³öCµãËÙ¶È£¬ÔÙÇó¶¯ÄܵÄÔö¼ÓÁ¿Îª¡÷Ek£®
£¨2£©ÓÉ¡÷x=aT2Çó½â¼ÓËÙ¶È£®
½â´ð£º½â£º£¨1£©ÖØ´¸ÖØÁ¦ÊÆÄܵļõÉÙÁ¿Îª¡÷EP=mg£¨s+s1£©£®
´òCµãÖØ´¸µÄËÙ¶ÈvC=
£¬T=2?
£¬
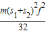
ÖØ´¸¶¯ÄܵÄÔö¼ÓÁ¿Îª¡÷Ek=
m
=
£¨2£©ÓÉs2-s1=a£¨
£©2£¬µÃ
a=
¹Ê´ð°¸Îª£º£¨1£©mg£¨s+s1£©£¬
£¨2£©
µãÆÀ£º±¾ÌâÈÝÒ׳ö´íµÄµØ·½ÊÇT=
£¬Òª×¢ÒâÇø·ÖµçÔ´µÄÖÜÆÚÓë¼ÆÊýµãʱ¼ä¼ä¸ô£¬Ê½ÖС÷x=aT2ÖÐTÊǼÆÊýµãʱ¼ä¼ä¸ô£®
£¨2£©ÓÉ¡÷x=aT2Çó½â¼ÓËÙ¶È£®
½â´ð£º½â£º£¨1£©ÖØ´¸ÖØÁ¦ÊÆÄܵļõÉÙÁ¿Îª¡÷EP=mg£¨s+s1£©£®
´òCµãÖØ´¸µÄËÙ¶ÈvC=
ÖØ´¸¶¯ÄܵÄÔö¼ÓÁ¿Îª¡÷Ek=
£¨2£©ÓÉs2-s1=a£¨
a=
¹Ê´ð°¸Îª£º£¨1£©mg£¨s+s1£©£¬
£¨2£©
µãÆÀ£º±¾ÌâÈÝÒ׳ö´íµÄµØ·½ÊÇT=
Á·Ï°²áϵÁдð°¸
Ïà¹ØÌâÄ¿