题目内容

如图所示,跳伞运动员做低空跳伞表演,他在离地面224m高处,由静止开始在竖直方向做自由落体运动.一段时间后,立即打开降落伞,并以12.5m/s2的加速度匀减速下降,为了运动员的安全,要求运动员落地速度最大不得超过5m/s(g取10m/s2).求运动员展开伞时,离地面高度至少为多少?着地时相当于从多高处自由落下?

 

 

【答案】

99m  1.25m

【解析】

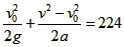
试题分析:(1)设自由落体结束时的速度为v0运动员自由落体的高度:

运动员匀减速运动的高度:

又h1+h2= h ③

由①②③得:

v0=50m/s 把v0代入①式得:h1=125m

运动远离地面的高度:△h = h-h1=99m

(2)由得: h =52/2×10=1.25m 即运动员相当于从1.25米下落。

考点:自由落体规律

 

练习册系列答案
相关题目

违法和不良信息举报电话:027-86699610 举报邮箱:58377363@163.com

精英家教网