题目内容
质量为2Kg的物体在F=4N水平恒力作用下,在水平面上以4m/s的速度作匀速直线运动.(g取10m/s2)求:(1)物体与水平面间的动摩擦因数?
(2)如果经过4s时间撤去恒力F直到物体停下来,物体的总位移为多少?
【答案】分析:(1)根据物体做匀速直线运动求出滑动摩擦力的大小,结合滑动摩擦力公式求出物体与水平面间的动摩擦因数.
(2)先求出物体匀速直线运动的位移,根据牛顿第二定律求出物体撤去恒力后的加速度,根据速度位移公式求出匀减速直线运动的位移,从而求出物体的总位移.
解答:解:(1)撤去恒力F前,物体匀速运动,F=μmg

(2)撤去恒力F前,物体匀速运动. S1=vt=4×4=16m
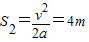
撤去恒力F后,物体匀减速运动
,

物体总位移为S=S1+S2=16+4=20m
答:(1)物体与水平面间的动摩擦因数为0.2.
(2)物体的总位移为20m.
点评:本题考查了牛顿第二定律和运动学公式,知道加速度是联系力学和运动学的桥梁.
(2)先求出物体匀速直线运动的位移,根据牛顿第二定律求出物体撤去恒力后的加速度,根据速度位移公式求出匀减速直线运动的位移,从而求出物体的总位移.
解答:解:(1)撤去恒力F前,物体匀速运动,F=μmg
(2)撤去恒力F前,物体匀速运动. S1=vt=4×4=16m
撤去恒力F后,物体匀减速运动
物体总位移为S=S1+S2=16+4=20m
答:(1)物体与水平面间的动摩擦因数为0.2.
(2)物体的总位移为20m.
点评:本题考查了牛顿第二定律和运动学公式,知道加速度是联系力学和运动学的桥梁.
练习册系列答案
相关题目