ÌâÄ¿ÄÚÈÝ
ÈçͼÊÇ¡°æÏ¶ðÒ»ºÅ¡±±¼ÔµÄʾÒâͼ£¬ÎÀÐÇ·¢Éäºóͨ¹ý×Ô´øµÄСÐÍ»ð¼ý¶à´Î±ä¹ì£¬½øÈëµØÔÂ×ªÒÆ¹ìµÀ£¬×îÖÕ±»ÔÂÇòÒýÁ¦²¶»ñ£¬³ÉÎªÈÆÔÂÎÀÐÇ£¬²¢¿ªÕ¹¶ÔÔÂÇòµÄ̽²â£®ÏÂÁÐ˵·¨ÕýÈ·µÄÊÇ£¨ £©A£®·¢Éä¡°æÏ¶ðÒ»ºÅ¡±µÄËٶȱØÐë´ïµ½µÚÈýÓîÖæËÙ¶È
B£®ÔÚÈÆÔÂÔ²¹ìµÀÉÏ£¬ÎÀÐÇÖÜÆÚÓëÎÀÐÇÖÊÁ¿ÓйØ
C£®ÎÀÐÇÊÜÔÂÇòµÄÒýÁ¦ÓëËüµ½ÔÂÇòÖÐÐľàÀëµÄƽ·½³É·´±È
D£®ÔÚÈÆÔ¹ìµÀÉÏ£¬ÎÀÐÇÊܵØÇòµÄÒýÁ¦´óÓÚÊÜÔÂÇòµÄÒýÁ¦
¡¾´ð°¸¡¿·ÖÎö£º±¾Ìâ½âÌâµÄ¹Ø¼üÊÇ£º¢ÙÃ÷°×µÚÈýÓîÖæËÙ¶ÈÊÇÖ¸±»·¢ÉäÎïÌåÄܹ»ÍÑÀëÌ«ÑôϵµÄ×îСµÄ·¢ÉäËÙ¶È£¬¶ø¡°æÏ¶ðÒ»ºÅ¡±ÈÔȻûÓÐÍÑÀëµØÇòµÄÒýÁ¦·¶Î§£®¢ÚÍòÓÐÒýÁ¦µÄ±í´ïʽ£¬ÒÔ¼°Ê²Ã´Á¦ÌṩÎÀÐÇ×öÔ²ÖÜÔ˶¯µÄÏòÐÄÁ¦£®
½â´ð£º½â£ºA¡¢µÚÈýÓîÖæËÙ¶ÈÊÇÖ¸±»·¢ÉäÎïÌåÄܹ»ÍÑÀëÌ«ÑôϵµÄ×îСµÄ·¢ÉäËÙ¶È£¬¶ø¡°æÏ¶ðÒ»ºÅ¡±ÈÔȻûÓÐÍÑÀëµØÇòµÄÒýÁ¦·¶Î§£¬¹ÊÆä·¢ÉäËÙ¶ÈСÓÚµÚ¶þÓîÖæËÙ¶È£®
¹ÊA´íÎó£®
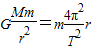
B¡¢¸ù¾ÝÍòÓÐÒýÁ¦ÌṩÏòÐÄÁ¦
¿ÉµÃT2=
¹ÊÎÀÐÇÔ˶¯µÄÖÜÆÚÓëÎÀÐÇ×ÔÉíµÄÖÊÁ¿Î޹أ®
¹ÊB´íÎó£®
C¡¢¸ù¾ÝÍòÓÐÒýÁ¦¶¨ÂÉF=
¿ÉµÃ¡°æÏ¶ðÒ»ºÅ¡±ÎÀÐÇÊܵ½µÄÔÂÇòµÄÒýÁ¦ÓëÎÀÐǵ½ÔÂÇòÇòÐĵľàÀëµÄƽ·½³É·´±È£®
¹ÊCÕýÈ·£®
D¡¢ÎÀÐÇÔÚÈÆÔ¹ìµÀÉÏʱËùÊܺÏÁ¦ÌṩÏòÐÄÁ¦£¬¶øÏòÐÄÁ¦Ö¸Ïò¹ì¼£µÄÔ²Ðļ´ÔÂÇòµÄÇòÐÄ£¬¹ÊÔÂÇò¶ÔÎÀÐǵÄÒýÁ¦´óÓÚµØÇò¶ÔÎÀÐǵÄÒýÁ¦£®
¹ÊD´íÎó£®
¹ÊÑ¡C£®
µãÆÀ£º±¾Ì⿼²éÄÚÈÝÄѶȲ»´ó£¬ÊôÓÚÀí½âÐÔÖÊ£¬ËùÒÔÔÚѧϰ¹ý³ÌÖÐÒª¼ÓÇ¿¶Ô»ù±¾¸ÅÄîºÍ»ù±¾¹æÂɵÄÀí½âºÍÓ¦Óã®
½â´ð£º½â£ºA¡¢µÚÈýÓîÖæËÙ¶ÈÊÇÖ¸±»·¢ÉäÎïÌåÄܹ»ÍÑÀëÌ«ÑôϵµÄ×îСµÄ·¢ÉäËÙ¶È£¬¶ø¡°æÏ¶ðÒ»ºÅ¡±ÈÔȻûÓÐÍÑÀëµØÇòµÄÒýÁ¦·¶Î§£¬¹ÊÆä·¢ÉäËÙ¶ÈСÓÚµÚ¶þÓîÖæËÙ¶È£®
¹ÊA´íÎó£®
B¡¢¸ù¾ÝÍòÓÐÒýÁ¦ÌṩÏòÐÄÁ¦
¿ÉµÃT2=
¹ÊÎÀÐÇÔ˶¯µÄÖÜÆÚÓëÎÀÐÇ×ÔÉíµÄÖÊÁ¿Î޹أ®
¹ÊB´íÎó£®
C¡¢¸ù¾ÝÍòÓÐÒýÁ¦¶¨ÂÉF=
¹ÊCÕýÈ·£®
D¡¢ÎÀÐÇÔÚÈÆÔ¹ìµÀÉÏʱËùÊܺÏÁ¦ÌṩÏòÐÄÁ¦£¬¶øÏòÐÄÁ¦Ö¸Ïò¹ì¼£µÄÔ²Ðļ´ÔÂÇòµÄÇòÐÄ£¬¹ÊÔÂÇò¶ÔÎÀÐǵÄÒýÁ¦´óÓÚµØÇò¶ÔÎÀÐǵÄÒýÁ¦£®
¹ÊD´íÎó£®
¹ÊÑ¡C£®
µãÆÀ£º±¾Ì⿼²éÄÚÈÝÄѶȲ»´ó£¬ÊôÓÚÀí½âÐÔÖÊ£¬ËùÒÔÔÚѧϰ¹ý³ÌÖÐÒª¼ÓÇ¿¶Ô»ù±¾¸ÅÄîºÍ»ù±¾¹æÂɵÄÀí½âºÍÓ¦Óã®
Á·Ï°²áϵÁдð°¸
Ïà¹ØÌâÄ¿