题目内容

一质量为m的木块静止在光滑的水平面上,从t=0开始,将一个大小为F的水平力作用在该木块上,则在时间内,力F的平均功率为多少?

答案:略
解析:

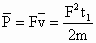
  解法一:当力F作用于木块上时,木块将产生一个加速度,加速度的大小为,在时间内,物体的位移是,所以在时间内的平均功率应为

  解法二:在时刻,物体的速度应是,所以在时间内,物体的平均速度为.所以在时间内物体的平均功率为


练习册系列答案
相关题目

违法和不良信息举报电话:027-86699610 举报邮箱:58377363@163.com

精英家教网