ÌâÄ¿ÄÚÈÝ
ÉñÖ۰˺ŷɴ¬Íê³ÉÓëÌ칬һºÅµÄÁ½´Î¶Ô½ÓÈÎÎñºó·µ»Ø£¬·µ»Ø²Õ¾àµØÃæ10kmʱ¿ªÊ¼Æô¶¯½µÂäɡװÖã¬ËٶȼõÖÁ10m/s£¬²¢ÒÔÕâ¸öËÙ¶ÈÔÚ´óÆøÖнµÂ䣮ÔÚ¾àµØÃæ1.2mʱ£¬·µ»Ø²ÕµÄ4̨·¢¶¯»ú¿ªÊ¼ÏòÏÂÅçÆø£¬²ÕÌåÔٴμõËÙ£®Éè×îºó¼õËÙ¹ý³ÌÖзµ»Ø²Õ×öÔȼõËÙÔ˶¯£¬ÇÒµ½´ïµØÃæÊ±µÄËÙ¶ÈÇ¡ºÃΪ0£¬Ç󣨽á¹û¾ù±£ÁôÁ½Î»ÓÐЧÊý×Ö£©£º£¨1£©×îºó¼õËٽ׶εļÓËÙ¶È£»
£¨2£©×îºó¼õËÙ½×¶ÎËùÓõÄʱ¼ä£®
¡¾´ð°¸¡¿·ÖÎö£º£¨1£©·µ»Ø²Õ×îºó¼õËÙ½×¶Î×öÔȼõËÙÔ˶¯£¬ÒÑÖª³õËÙ¶ÈΪ10m/s£¬Ä©ËÙ¶ÈΪ0£¬Î»ÒÆÎª1.2m£¬¸ù¾ÝËÙ¶ÈÎ»ÒÆ¹ØÏµ¹«Ê½Çó³ö¼ÓËÙ¶È£®
£¨2£©¸ù¾ÝËٶȹ«Ê½Çó³öʱ¼ä£®
½â´ð£º½â£º
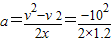
£¨1£©ÒÑÖªv=10m/s£¬v=0£¬x=1.2m
ÓÉv2-v2=2axµÃ
m/s2=-42m/s2
£¨2£©ÓÉv=v+at
µÃ
s=0.24s
´ð£º
£¨1£©×îºó¼õËٽ׶εļÓËÙ¶ÈÊÇ-42m/s2£»
£¨2£©×îºó¼õËÙ½×¶ÎËùÓõÄʱ¼äÊÇ0.24s£®
µãÆÀ£º±¾ÌâÊÇÔȱäËÙÖ±ÏßÔ˶¯£¬Ê×ÏÈÒª·ÖÎöÎïÌåµÄÔ˶¯Çé¿ö£¬Ã÷È·ÒÑÖªÌõ¼þ£¬ÔÙÑ¡ÔñºÏÊʵĹ«Ê½Çó½â£®
£¨2£©¸ù¾ÝËٶȹ«Ê½Çó³öʱ¼ä£®
½â´ð£º½â£º
£¨1£©ÒÑÖªv=10m/s£¬v=0£¬x=1.2m
ÓÉv2-v2=2axµÃ
£¨2£©ÓÉv=v+at
µÃ
´ð£º
£¨1£©×îºó¼õËٽ׶εļÓËÙ¶ÈÊÇ-42m/s2£»
£¨2£©×îºó¼õËÙ½×¶ÎËùÓõÄʱ¼äÊÇ0.24s£®
µãÆÀ£º±¾ÌâÊÇÔȱäËÙÖ±ÏßÔ˶¯£¬Ê×ÏÈÒª·ÖÎöÎïÌåµÄÔ˶¯Çé¿ö£¬Ã÷È·ÒÑÖªÌõ¼þ£¬ÔÙÑ¡ÔñºÏÊʵĹ«Ê½Çó½â£®
Á·Ï°²áϵÁдð°¸
Ïà¹ØÌâÄ¿