题目内容
在福建省科技馆中,有一个模拟万有引力的装置,在如图1所示的类似锥形漏斗固定的容器中,有两个小球在该容器表面上绕漏斗中心轴做水平圆周运动,其运行能形象地模拟了太阳系中星球围绕太阳的运行.图2为其示意图.图3为其模拟的太阳系行星运动图.图2中球离中心轴的距离相当于行星离太阳的距离.(1)在图3中,设行星A1和B1,离太阳距离分别为r1,和r2,求A1、B1,运行速度大小之比.
(2)在图2中,若质量为m的A球速度大小v,在距离中心轴为x1的轨道面上旋转,由于受到微小的摩擦阻力,A球绕轴旋转同时缓慢落向漏斗中心.当其运动到距离中心轴为x2的轨道面时,两轨道面之间的高度差为H.求此过程中A球克服摩擦阻力所做的功.
【答案】分析:人造地球卫星做匀速圆周运动,万有引力提供向心力,再运用牛顿第二定律列方程求线速度与半径的关系.A球绕轴旋转同时缓慢落向漏斗中心的过程中,重力与摩擦力做功,要根据动能定理来解题,
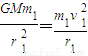
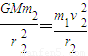
解答:解:(1)设A1和B1的质量分别为m1和m2
根据万有引力定律和牛顿运动定律

联立解得
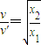
(2)设小球距离中心轴x2的轨道面运动的速度为v′,
由于小球的运动模拟行星运动,
有
根据动能定理:
联立解得:
答:(1)求A1、B1,运行速度大小之比
;(2)克服摩擦阻力所做的功
.
点评:人造地球卫星做匀速圆周运动,一定要使用万有引力提供向心力的公式来讨论半径与线速度的关系.A球绕轴旋转同时缓慢落向漏斗中心的过程中,重力与摩擦力做功,
.
解答:解:(1)设A1和B1的质量分别为m1和m2
根据万有引力定律和牛顿运动定律
联立解得
(2)设小球距离中心轴x2的轨道面运动的速度为v′,
由于小球的运动模拟行星运动,
有
根据动能定理:
联立解得:
答:(1)求A1、B1,运行速度大小之比
点评:人造地球卫星做匀速圆周运动,一定要使用万有引力提供向心力的公式来讨论半径与线速度的关系.A球绕轴旋转同时缓慢落向漏斗中心的过程中,重力与摩擦力做功,
练习册系列答案
相关题目