题目内容
某人造地球卫星绕地球做匀速圆周运动,实施变轨后卫星的线速度减小到原来的A.卫星的向心加速度减小到原来的
B.卫星的角速度减小到原来的
C.卫星的周期增大到原来的8倍
D.卫星的半径增大到原来的2倍
【答案】分析:根据万有引力提供向心力得出线速度与轨道半径的关系,根据线速度的变化,得出轨道半径的变化,从而得出角速度、向心加速度、周期的变化.
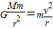
解答:解:A、D、根据
,解得v=
,线速度变为原来的
,知轨道半径变为原来的4倍.根据a=
,知向心加速度变为原来的
.故A、D错误.
B、根据ω=
知,线速度变为原来的
,知轨道半径变为原来的4倍,则角速度变为原来的
.故B错误.
C、根据周期T=
,角速度变为原来的
.则周期变为原来的8倍.故C正确.
故选C.
点评:解决本题的关键掌握万有引力提供向心力这一理论,知道线速度、角速度、向心加速度、周期与轨道半径的关系.
解答:解:A、D、根据
B、根据ω=
C、根据周期T=
故选C.
点评:解决本题的关键掌握万有引力提供向心力这一理论,知道线速度、角速度、向心加速度、周期与轨道半径的关系.
练习册系列答案
相关题目
某人造地球卫星绕地球做匀速圆周运动,其轨道半径为月球绕地球运转半径的
,设月球绕地球运动的周期为27天,则此卫星的运转周期大约是( )
| 1 |
| 9 |
A、
| ||
B、
| ||
| C、1天 | ||
| D、9天 |