题目内容
在光滑绝缘的水平面上,用长为2L的绝缘轻杆连接两个质量均为m的带电小球A和B.A球的带电量为+2q,B球的带电量为-3q,组成一带电系统,如图所示,虚线MP为AB两球连线的垂直平分线,虚线NQ与MP平行且相距4L.最初A和B分别静止于虚线MP的两侧,距MP的距离均为L,且A球距虚线NQ的距离为3L.若视小球为质点,不计轻杆的质量,在虚线MP,NQ间加上水平向右的匀强电场E后,求:(1)B球刚进入电场时,带电系统的速度大小.
(2)带电系统从开始运动到速度第一次为零所需时间以及B球电势能的变化量.
【答案】分析:(1)在B进入电场前只有A球受电场力2qE,根据运动学公式可求出B球进入电场前系统的加速度a1,从而求出B球刚进入电场时系统的速度的大小v.
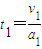
(2)根据t1=
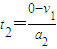
求出B球进入电场前运动的时间t1;根据B球也进入电场后A球所受的电场力向右,B球所受的电场力向左,但总的电场力方向向左,可求出此时整体的加速度a2,根据运动学公式t2=
可求出系统向右减速运动的时间.最后求出带电系统从开始运动到速度第一次为零所需时间t=t1+t2.
B球进入电场后电场力对B球所做的功W=-6qL,故B球电势能增加了6EqL.
解答:解:(1)带电系统开始运动时,设加速度为a1,由牛顿第二定律:
=
球B刚进入电场时,带电系统的速度为v1,有:v12=2a1L
求得:
(2)对带电系统进行分析,假设球A能达到右极板,电场力对系统做功为W1,有:W1=2qE×3L+(-3qE×2L)=0
故带电系统速度第一次为零时,球A恰好到达右极板Q.
设球B从静止到刚进入电场的时间为t1,则:
解得:
球B进入电场后,带电系统的加速度为a2,由牛顿第二定律:
显然,带电系统做匀减速运动.减速所需时间为t2,
则有:
求得:
可知,带电系统从静止到速度第一次为零所需的时间为:
带电系统速度第一次为零时,球A恰好到达右极板Q,故进入电场后B球向右运动的位移x=4L-2L=2L,
故电场力对B球所做的功为W=-3qE×2L=-6EqL
故B球电势能增加了6EqL.
点评:解决本题的过程中要注意在B球未进入电场和B球进入电场后系统所受的电场力不同,故加速度不同,从而可以分别求出运动时间以及系统向右运动的最大距离.
(2)根据t1=
B球进入电场后电场力对B球所做的功W=-6qL,故B球电势能增加了6EqL.
解答:解:(1)带电系统开始运动时,设加速度为a1,由牛顿第二定律:
球B刚进入电场时,带电系统的速度为v1,有:v12=2a1L
求得:
(2)对带电系统进行分析,假设球A能达到右极板,电场力对系统做功为W1,有:W1=2qE×3L+(-3qE×2L)=0
故带电系统速度第一次为零时,球A恰好到达右极板Q.
设球B从静止到刚进入电场的时间为t1,则:
解得:
球B进入电场后,带电系统的加速度为a2,由牛顿第二定律:
显然,带电系统做匀减速运动.减速所需时间为t2,
则有:
求得:
可知,带电系统从静止到速度第一次为零所需的时间为:
带电系统速度第一次为零时,球A恰好到达右极板Q,故进入电场后B球向右运动的位移x=4L-2L=2L,
故电场力对B球所做的功为W=-3qE×2L=-6EqL
故B球电势能增加了6EqL.
点评:解决本题的过程中要注意在B球未进入电场和B球进入电场后系统所受的电场力不同,故加速度不同,从而可以分别求出运动时间以及系统向右运动的最大距离.
练习册系列答案
相关题目