题目内容

2008年9月,神舟七号载人航天飞行获得了圆满成功,我国航天员首次成功实施空间出舱活动、飞船首次成功实施释放小伴星的实验,实现了我国空间技术发展的重大跨越.已知飞船在地球上空的圆轨道上运行时离地面的高度为h.地球半径为R,地球表面的重力加速度为g.求飞船在该圆轨道上运行时:

(1)速度v的大小和周期T

(2)速度v与第一宇宙速度的比值.

答案:
解析:

  (1)用M表示地球质量,m表示飞船质量,由万有引力定律和牛顿定律得

  (2分)

  地球表面质量为m0的物体,有(2分)

  解得飞船在圆轨道上运行时速度 (1分)

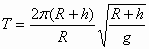
  飞船在运行的周期 (2分)解得 (1分)

  (2)第一宇宙速度v1满足  (2分)

  因此飞船在圆轨道上运行时速度与第一宇宙速度的比值(2分)


练习册系列答案
相关题目

违法和不良信息举报电话:027-86699610 举报邮箱:58377363@163.com

精英家教网