题目内容

宇航员站在一星球表面上的高处,沿水平方向抛出一个小球,经过时间t,小球落至星球表面,测得抛出点与落地点之间的距离为L,若抛出时的初速度增大到2倍,则抛出点与落地点之间的距离为.已知两落地点在同一水平面上,该星球的半径为只,万有引力恒量为G,求该星球的质量M.

答案:略
解析:

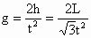
设抛出点的高度为h,第一次水平初速度为,则有,水平初速度为时,则有:,由两式解得:平抛运动的竖直方向(g为该星球表面的重力加速度)

由万有引力定律得,故


练习册系列答案
相关题目

违法和不良信息举报电话:027-86699610 举报邮箱:58377363@163.com

精英家教网