题目内容
物体以初速度v沿光滑斜面向上匀减速直线运动,经时间t,速度减为零,通过的位移为s,则( )A.经时
B.经
C.通过的位移为
D.通过的位移为
【答案】分析:A、物体以初速度v沿光滑斜面向上匀减速直线运动,经时间t,速度减为零,采取逆向思维,物体做初速度为0的匀加速直线运动,根据v=at,求出
末和t末的速度比,根据x=
,求出通过的位移比.
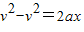
C、根据速度位移公式
,求出通过
时的速度.
解答:解:A、采取逆向思维,由v=at,在
末和t末的速度比为1:2,t末的速度为v,则
末的速度为
.根据x=
,
内和t内的位移比为1:4,所以
内的位移为
,因为采取的是逆向思维,所以
内的位移是
.故A错误,B正确.
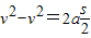
C、根据
,
,得出通过
时的速度v=
.故C、D错误.
故选B.
点评:解决本题的关键掌握速度时间公式v=v+at和速度位移公式
,以及会灵活运用逆向思维.
C、根据速度位移公式
解答:解:A、采取逆向思维,由v=at,在
C、根据
故选B.
点评:解决本题的关键掌握速度时间公式v=v+at和速度位移公式
练习册系列答案
相关题目