题目内容
经国际小行星命名委员会命名的“神舟星”和“杨利伟星”的轨道均处在火星和木星轨道之间.已知“神舟星”平均每天绕太阳运行174万公里,“杨利伟星”平均每天绕太阳运行14.5万公里.假设两行星均绕太阳做匀速圆周运动,则两星相比较( )A.“神舟星”的轨道半径大
B.“神舟星”的加速度大
C.“神舟星”的公转周期大
D.“神舟星”的角速度大
【答案】分析:行星运动问题可类比人造卫星的运动规律解决,可利用开普勒行星第三定律、万有引力提供向心力等规律解决.
解答:解:由题意知,“神舟星”运动线速度
,“杨利伟星”运行线速度
,显然有v1>v2;
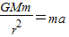
A.由万有引力提供向心力,
,即
,
,有r1<r2,所以A错误
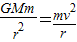
B.由万有引力提供向心力,
,即
,
,由r1<r2,则a1>a2,B正确
C.由开普勒第三定律,
,得
,由于r1<r2,则T1<T2,C错误
D.由万有引力提供向心力,
,得
,得
,由r1<r2,则ω1>ω2,D正确
故选:B、D
点评:行星及卫星运动规律进行定性比较时,可以简单记忆为“越近越快,越远越慢”,即轨道半径越小,线速度越大,角速度越大,加速度越大,周期越短.定量计算时,应使用核心原理:万有引力提供向心力、开普勒第三定律.
解答:解:由题意知,“神舟星”运动线速度
A.由万有引力提供向心力,
B.由万有引力提供向心力,
C.由开普勒第三定律,
D.由万有引力提供向心力,
故选:B、D
点评:行星及卫星运动规律进行定性比较时,可以简单记忆为“越近越快,越远越慢”,即轨道半径越小,线速度越大,角速度越大,加速度越大,周期越短.定量计算时,应使用核心原理:万有引力提供向心力、开普勒第三定律.
练习册系列答案
相关题目