题目内容
如图所示,一带电粒子以速度v0沿上板边缘垂直于电场线射入匀强电场,它刚好贴着下板边缘飞出.已知匀强电场两极板长为l,间距为d,求:
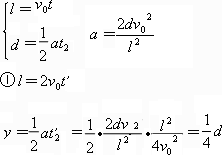
(1)如果带电粒子的速度变为2v0,则离开电场时,沿场强方向偏转的距离y为多少?
(2)如果带电粒子的速度变为2v0,板长l不变,当它的竖直位移仍为d时,它的水平位移x为多少?(粒子的重力忽略不计)
答案:
解析:
解析:
|
解析:因为带电粒子在电场中运动,受到的电场力与速度无关,所以a是一定的 ②如图所示:将速度反向延长交上析的中点,由相似△
|
练习册系列答案
相关题目
| A、粒子从A点射入,速率逐渐减小 | B、粒子从A点射入,速率逐渐增大 | C、粒子带负电,从B点射入磁场 | D、粒子带正电,从A点射入磁场 |
| A、粒子带正电 | B、粒子加速度不断变小 | C、粒子在A点时动能较大 | D、B点场强小于A点场强 |