题目内容

一颗人造卫星在离地面高度等于地球半径的圆形轨道上运行,已知卫星的第一宇宙速度是,求:

(1)这颗卫星运行的线速度多大?

(2)它绕地球运动的向心加速度多大?

(3)质量为1kg的仪器放在卫星的平台上,仪器的重力多大?它对平台的压力多大?

答案:略
解析:

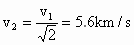
(1)5.6km/s (2) (3)2.45N 零

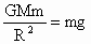
(1)卫星在近地运行时,有  ①

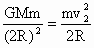
在离地高度为R时,有   ②

由①②得:

(2)在离地高度为R处的卫星,有

在地面附近处的卫星有    ④

由③④两式可得

(3)在卫星内,仪器的重力就是地球对它的万有引力.

由于此处重力完全用来提供向心力,处于完全失重状态,故对平台压力为零.


练习册系列答案
相关题目

违法和不良信息举报电话:027-86699610 举报邮箱:58377363@163.com

精英家教网