题目内容

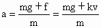
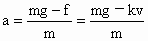
竖直向上飞行的子弹,达到最高点后又返回原处,假设整个运动过程中子弹受到的阻力与速度的大小成正比,则整个过程中加速度的变化是

[  ]

A.始终变小
B.始终变大
C.先变小后变大
D.先变大后变小

答案:A
解析:

上升过程,随着v减小,a减小;下降过程v增加,a减小,所以a始终减小.


练习册系列答案
相关题目

违法和不良信息举报电话:027-86699610 举报邮箱:58377363@163.com

精英家教网