题目内容
经检测汽车A的制动性能:以标准速度20m/s在平直公路上行使时,制动后40s停下来.现A在平直公路上以20m/s的速度行使发现前方180m处有一货车B以6m/s的速度同向匀速行使,司机立即制动,能否发生撞车事故?
【答案】分析:根据汽车A以标准速度行驶时制动的时间,由加速度公式求出汽车的加速度.当A在平直公路上以20m/s的速度行使时,A制动到速度与货车B的速度相同时,若A能超过B车则相撞,否则不能相撞.根据位移速度公式求出,两车速度相同时通过的位移,再判断两车能否相撞.
解答:解:汽车A以v=20m/s的初速做匀减速直线运动经40s停下来.据加速度公式可求出a=
=0.5m/s2.
当A车减为与B车同速时,据
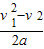
=2as可求出A车减为与B车同速时的位移为
s1=
=
=364m
此过程通过的时间为t=
=28s
此时间内B车的位移为s2=v2t=6×28m=168m
因为△s=s1-s2=364m-168m=196m>180m
所以两车相撞.
答:通过计算得到两车能发生撞车事故.
点评:本题是运动学中临界问题,两车恰好相撞的临界条件是速度相等,后车追上前车.
解答:解:汽车A以v=20m/s的初速做匀减速直线运动经40s停下来.据加速度公式可求出a=
当A车减为与B车同速时,据
s1=
此过程通过的时间为t=
此时间内B车的位移为s2=v2t=6×28m=168m
因为△s=s1-s2=364m-168m=196m>180m
所以两车相撞.
答:通过计算得到两车能发生撞车事故.
点评:本题是运动学中临界问题,两车恰好相撞的临界条件是速度相等,后车追上前车.
练习册系列答案
相关题目