题目内容

汽车刹车后做匀减速直线运动,最后停了下来,在刹车过程中,汽车前半程的平均速度与后半程的平均速度之比是

[  ]

A.

B.2∶1

C.

D.1∶2

答案:A
解析:

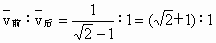
设汽车刹车的加速度大小为a,刹车时间为,后半程所用时间,刹车位移为x.如下图所示.把此过程看做初速为零的匀加速直线运动的逆过程,由,所以.即

得,前后两半程的平均速度为

所以,即仅A正确.


练习册系列答案
相关题目

违法和不良信息举报电话:027-86699610 举报邮箱:58377363@163.com

精英家教网