题目内容

可看成质点的物体做匀加速直线运动,先后经过a、b两点时的速度分别为v和7v,由a到b所用时间为t,则下列判断正确的是(    )

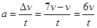
A.质点运动的加速度大小为

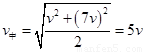
B.质点经过ab中点的速度为5v

C.质点在ab间前一半时间通过的位移是后一半时间通过的位移的

D.质点在ab间前一半位移所用时间是后一半位移所用时间的2倍

 

【答案】

ABD

【解析】

试题分析:根据加速度的定义可求得质点的加速度 ,所以A正确;中点位置时的速度,所以B正确;在相同时间内的位移之比为,所以C错误;两段相等位移所用的时间之比为,所以选项D正确;

考点:匀变速直线运动公式

 

练习册系列答案
相关题目

违法和不良信息举报电话:027-86699610 举报邮箱:58377363@163.com

精英家教网