题目内容
2007年4月24日,欧洲科学家宣布在太阳之外发现了一颗可能适合人类居住的类地行星Gliese581c.这颗围绕红矮星Gliese581运行的星球有类似地球的温度,表面可能有液态水存在,距离地球约为20光年,直径约为地球的1.5倍,质量约为地球的5倍,绕红矮星Gliese581运行的周期约为13天.设想在该行星表面附近绕行星沿圆轨道运行的人造卫星的动能为Ek1,在地球表面附近绕地球沿圆轨道运行的相同质量的人造卫星的动能为Ek2,则A.0.13
B.0.3
C.3.33
D.7.5
【答案】分析:求质量相同的卫星动能之比即求卫星的速度的二次方之比,根据卫星做圆周运动的向心力由万有引力提供,根据行星与地球的质量之比和半径之比,可得速度的二次方之比,故而可求动能之比.
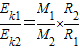
解答:解:由题意知质量相同的卫星绕行星运动的动能Ek1和绕地球飞行的卫星的动能Ek2之比为:

又卫星受到的万有引力提供卫星运动的向心力,故由
得

所以
=
故选C.
点评:根据万有引力提供向心力列式求解.据动能的表达式知,质量相等的卫星动能之比为速度的平方比,再据万有引力提供向心力的方程得到速度的平方比,即可.
解答:解:由题意知质量相同的卫星绕行星运动的动能Ek1和绕地球飞行的卫星的动能Ek2之比为:
又卫星受到的万有引力提供卫星运动的向心力,故由
所以
故选C.
点评:根据万有引力提供向心力列式求解.据动能的表达式知,质量相等的卫星动能之比为速度的平方比,再据万有引力提供向心力的方程得到速度的平方比,即可.
练习册系列答案
相关题目