题目内容
在《验证机械能守恒定律》的实验中,已知重锤的质量为m,使用的交流电的频率为f.重锤从高处由静止开始下落,重锤上拖着的纸带通过打点计时器打出一系列的点,对纸带上的点进行测量并通过计算,就可以验证机械能守恒定律.如图所示,选取纸带上打出的连续五个点A、B、C、D、E,测出A点距起始点O的距离为s,点A、C间的距离为sl,点C、E间的距离为s2,用以上给出的已知量写出C点速度的表达式为vC=______,打点计时器在打O点到C点的这段时间内,重锤的重力势能的减少量为______,动能的增加量为______.
【答案】分析:根据匀变速直线运动中某段时间中间时刻的瞬时速度等于该过程中的平均速度,可以求出C点的瞬时速度大小,进一步可以求出动能的增量,根据重量做功和重力势能之间的关系可以求出重力势能的减小量.
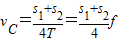
解答:解:在匀变速直线运动中,中间时刻的瞬时速度等于该过程中的平均速度,故C点的速度为:

重力势能的减小量等于重力做功大小,故有:
△Ep=mg(s+s1)
重锤动能的增加量为:
△Ek=
故答案为:
,mg(s+s1),
.
点评:本题考查了验证机械能守恒定律中的数据处理方法,注意物理基本规律尤其是匀变速直线运动规律在实验中的应用.
解答:解:在匀变速直线运动中,中间时刻的瞬时速度等于该过程中的平均速度,故C点的速度为:
重力势能的减小量等于重力做功大小,故有:
△Ep=mg(s+s1)
重锤动能的增加量为:
△Ek=
故答案为:
点评:本题考查了验证机械能守恒定律中的数据处理方法,注意物理基本规律尤其是匀变速直线运动规律在实验中的应用.
练习册系列答案
相关题目