题目内容

某人从A处到B处:(1)如果前半段时间内的平均速度为4 m/s,后半段时间内的平均速度为6 m/s,求从AB的平均速度;(2)如果前半段位移的平均速度为4 m/s,后半段位移的平均速度为6 m/s,求从AB的平均速度.

答案:
解析:

  讲析:平均速度的定义式为v,则从AB总位移为x,总时间为t.

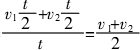
  (1)设前半段时间的平均速度为v1,后半段时间的平均速度为v2,则平均速度为v5 m/s

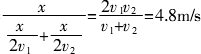
  (2)设前半段位移的平均速度为v1,后半段位移的平均速度为v2v

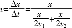
  点评:求解平均速度直接用公式v,所以第一问可以设总时间为t,先求出总位移为,然后根据公式v求出整个过程的平均速度;第二问可以设总位移为x,先求出总时间为,然后根据公式求出整个过程的平均速度.所以不管怎样,最终都要转化到平均速度的定义式上来.


练习册系列答案
相关题目

违法和不良信息举报电话:027-86699610 举报邮箱:58377363@163.com

精英家教网