题目内容
一辆汽车以72km/h的速率在某郊区匀速行驶,当这辆违章超速行驶的汽车刚刚驶过一辆警车时,警车立即从静止以2m/s2的加速度匀加速追去.(1)警车何时能截获超速汽车?警车截获超速汽车时,警车的速度为多大?
(2)在追上前,警车和汽车何时相距最远?最远距离是多少?
【答案】分析:(1)警车追上超速车时,两车的位移相等.根据运动学公式,结合位移关系求出追及时间,然后根据匀变速直线运动的速度时间公式v=at求出警车的速度.
(2)两车速度相等之前,超速车的速度大于警车,两车的距离越来越大,速度相等之后,超速车的速度小于警车,两车的距离又越来越小.所以两车速度相等时,之间的距离最大.根据速度相等,结合运动学公式求出时间,然后求出位移之差,即为两车的最大距离.
解答:解:(1)已知v汽=72km/h=20m/s,
设经过时间 t 两车相遇,则有
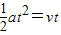
S警=S汽
即
代入数据解得t=20s
此时警车的速度:v警=at=2×20m/s=40m/s
(2)在追赶过程中,
当警察的速度小于汽车的速度时,两车之间的距离仍在继续增大;
当警察的速度大于汽车的速度时,甲、乙之间的距离便不断减小;
当v警=v汽时,两车相距最远
即v警=at′=v汽
∴
即10s末两车之间距离最大
且:
答:20s时警车追上超速汽车,此时警车的速度为40m/s,当10s时,两车相距最远,最远距离为100m.
点评:警车追上超速车时,两车的位移相等;速度相等之前,两车的距离逐渐增大,速度相等后,两车的距离逐渐减小,速度相等时,两车相距最远.
(2)两车速度相等之前,超速车的速度大于警车,两车的距离越来越大,速度相等之后,超速车的速度小于警车,两车的距离又越来越小.所以两车速度相等时,之间的距离最大.根据速度相等,结合运动学公式求出时间,然后求出位移之差,即为两车的最大距离.
解答:解:(1)已知v汽=72km/h=20m/s,
设经过时间 t 两车相遇,则有
S警=S汽
即
代入数据解得t=20s
此时警车的速度:v警=at=2×20m/s=40m/s
(2)在追赶过程中,
当警察的速度小于汽车的速度时,两车之间的距离仍在继续增大;
当警察的速度大于汽车的速度时,甲、乙之间的距离便不断减小;
当v警=v汽时,两车相距最远
即v警=at′=v汽
∴
即10s末两车之间距离最大
且:
答:20s时警车追上超速汽车,此时警车的速度为40m/s,当10s时,两车相距最远,最远距离为100m.
点评:警车追上超速车时,两车的位移相等;速度相等之前,两车的距离逐渐增大,速度相等后,两车的距离逐渐减小,速度相等时,两车相距最远.
练习册系列答案
相关题目