题目内容
如图所示,一个质量为m,带电量为+q的粒子以速度v从O点沿y轴正方向射入磁感应强度为B的圆形匀强磁场区域,磁场方向垂直纸面向外,粒子飞出磁场区域后,从点b处穿过x轴,速度方向与x轴正方向的夹角为30.粒子的重力不计,试求:(1)粒子在磁场中的运动半径
(2)粒子在磁场中运动的时间.
(3)圆形匀强磁场区域的最小面积.
【答案】分析:(1)根据带电粒子在磁场中运动时,洛仑兹力提供向心力即可求得半径;
(2)带电粒子在磁场中轨迹圆弧对应的圆心角为120°,根据圆心角与周期的关系即可求解运动时间;
(3)先求出连接粒子在磁场区入射点和出射点的弦长,要使圆形匀强磁场区域面积最小,其半径刚好为l的一半,求出半径即可求得面积.
解答:解:(1)带电粒子在磁场中运动时,洛仑兹力提供向心力得:

解得:R=
(2)带电粒子在磁场中轨迹圆弧对应的圆心角为120°,带电粒子在磁场中运动的时间为转动周期的
,
t=
(3)带电粒子在磁场中做匀速圆周运动,连接粒子在磁场区入射点和出射点得弦长为:
l=
要使圆形匀强磁场区域面积最小,其半径刚好为l的一半,即:
r=
=
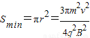
其面积为:
答:(1)粒子在磁场中的运动半径为
;
(2)粒子在磁场中运动的时间为
.
(3)圆形匀强磁场区域的最小面积为
.
点评:本题主要考查了带电粒子在磁场中做匀速圆周运动的问题,知道向心力由洛伦兹力提供,学会利用圆心角去求运动时间,难度适中.
(2)带电粒子在磁场中轨迹圆弧对应的圆心角为120°,根据圆心角与周期的关系即可求解运动时间;
(3)先求出连接粒子在磁场区入射点和出射点的弦长,要使圆形匀强磁场区域面积最小,其半径刚好为l的一半,求出半径即可求得面积.
解答:解:(1)带电粒子在磁场中运动时,洛仑兹力提供向心力得:
解得:R=
(2)带电粒子在磁场中轨迹圆弧对应的圆心角为120°,带电粒子在磁场中运动的时间为转动周期的
t=
(3)带电粒子在磁场中做匀速圆周运动,连接粒子在磁场区入射点和出射点得弦长为:
l=
要使圆形匀强磁场区域面积最小,其半径刚好为l的一半,即:
r=
其面积为:
答:(1)粒子在磁场中的运动半径为
(2)粒子在磁场中运动的时间为
(3)圆形匀强磁场区域的最小面积为
点评:本题主要考查了带电粒子在磁场中做匀速圆周运动的问题,知道向心力由洛伦兹力提供,学会利用圆心角去求运动时间,难度适中.
练习册系列答案
相关题目