题目内容

如图所示,在平面直角坐标系xoy中,仅在第Ⅱ象限存在沿x轴正方向的匀强电场,一质量为m,电荷量为q,可视为质点的带正电粒子(重力不计)从x轴负半轴x=-L处的M点,以初速度v0垂直于x轴射入电场,经y轴上y=2 L处的P点进入第Ⅰ象限.

(1)求电场强度的大小和粒子进入第I象限的速度大小.

(2)现要在第Ⅰ象限内加一半轻适当的半圆形匀强磁场区域,使(1)问中进入第Ⅰ象限的粒子,恰好以垂直于x轴的方向射出磁场.求所知磁场区域的半径.要求;磁场区域的边界过坐标原点,圆心在y上,磁场方向垂直于从标平面向外,磁感应强度为

答案:
解析:

  解:(1)设粒子到达P点用时为

  方向:(2分)

  方向:(1分)

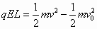
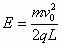
  解得(1分)

  又由动能定理(2分)

  解得(1分)

  (2)粒子进入磁场,速度方向与方向夹角

  得(1分)

  设粒子在磁场中运动的半径为

  及

  解得(2分)

  如图,设磁场区域半径为R根据勾股定理

  (2分)

  解得(2分)


练习册系列答案
相关题目

违法和不良信息举报电话:027-86699610 举报邮箱:58377363@163.com

精英家教网