题目内容
如图所示,匀强电场方向竖直向下,场强大小为E、质量为m、2m、3m的三个小球A、B、C用绝缘细线连接悬于O点,其中B球带正Q,A、C两球不带电.开始三球均处于静止状态时,当把O A段剪断的瞬间,A、B之间的细线张力为 .
【答案】分析:OA段被剪断,A球球被释放,由于电场力作用AB具有相同的向下加速度a,且加速度a大于重力加速度g,故BC段绳子松弛无弹力作用,采用整体法和隔离法处理AB间的相互作用力即可.
解答:解:剪断OA时,由于B带电受向下的电场力作用,使AB向下加速运动,由于电场力作用加速度向下且大于g,故此时BC绳间无作用力,所以
以AB整体为研究对象,受力如图所示:

整体所受合力F合=3mg+qE
AB整体的加速度a=
=g+
对A进行受力分析如图:

A球所受合力FA=mg+T
A 球产生的加速度
根据牛顿第二定律有:FA=maA
代入有:
整理有:
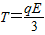
故答案为:
点评:会采用整体法和隔离法求相互作用的物体间的作用力是解决本题的关键.
解答:解:剪断OA时,由于B带电受向下的电场力作用,使AB向下加速运动,由于电场力作用加速度向下且大于g,故此时BC绳间无作用力,所以
以AB整体为研究对象,受力如图所示:
整体所受合力F合=3mg+qE
AB整体的加速度a=
对A进行受力分析如图:
A球所受合力FA=mg+T
A 球产生的加速度
根据牛顿第二定律有:FA=maA
代入有:
整理有:
故答案为:
点评:会采用整体法和隔离法求相互作用的物体间的作用力是解决本题的关键.
练习册系列答案
相关题目
| A、小球一定带正电 | B、电场力跟重力平衡 | C、小球在从a点运动到b点的过程中,电势能一定增大 | D、小球在运动过程中机械能守恒 |