题目内容

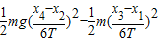
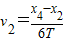
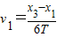
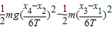
在验证“机械能守恒定律”的实验中,由于在运动的初始阶段计时器打出一些点迹模糊不清,故必须选择比较清楚的点作为测量起点,现所选的测量范围的第一点在米尺上的位置为x1,第四点在米尺上的位置为x2,第七点在米尺上的位置为x3,第十点在米尺上的位置为x4,如图.若下落物体的质量为m,打点计时器每隔T秒打一点,则可利用上述数据求出物体从第四点到第七点这一段过程中势能的减少量是______,动能的增加量是______,若打点计时器使用的交流电频率为50Hz,读得x1=2.8cm,x2=8.1cm,x3=16.8cm,x4=29.1cm,则势能的减少量为______,动能的增加量为______,(g=9.8m/s2,结果保留两位有效数字)

【答案】分析:根据4、7两点的距离求出这一过程中重力势能的减小量,分别求出4和7这两点的速度,从而得出动能的增加量.代入数据,求出势能的减小量和动能的增加量.
解答:解:物体从第四点到第七点这一段过程中下降的距离△x=x3-x2,从而得出重力势能的减小量为mg(x3-x2).
4这一点的瞬时速度等于第1点和第7点间的平均速度,所以,7这一点的瞬时速度等于第4点和第10点间的平均速度,.则动能的增加量为.代入数据解得,势能的减小量为0.85m,动能的增加量为0.85m.
故答案为:mg(x3-x2)..0.85m.0.85m
点评:解决本题的关键掌握瞬时速度的求法,从而求出动能的增加量.以及掌握重力势能减小量的求法.
练习册系列答案
相关题目
(2010?成都二模)(1)在验证“机械能守恒定率”的试验中:
①下面叙述正确的是
AB
AB
(填序号字母)
A.选用的重物的体积应当小一些
B.操作时应先通电再释放纸带
C.应该选用点迹清晰,且第一、二两点间的距离接近2mm的纸带进行分析
D.电磁打点计时器都应接在电压为20V的交流电源上
②实验室有下列器材可供选用:铁架台,电磁打点计时器(包括复写纸),纸带,停表,低压交流电源(带开关),导线,天平,刻度尺.
其中不必要的器材有
停表,天平
停表,天平
;缺少的器材是
重物
重物

(2)某同学想测某个电阻的电阻值Rx(约为130Ω),为此他找来下列器材:
A.电流E:电动势约为1.5V,内阻可忽略不计
B.电流表A1:量程为0~10mA,内电阻r1=10Ω
C.电流表A2:量程为0~20mA电阻r2约为5Ω
D.定值电阻R0:阻值R0=90Ω
E.滑动变阻器R1:最大阻值为20Ω
F.滑动变阻器R2:最大阻值为1000Ω
G.单刀单掷开关S,导线若干
①该同学的设计思路是:先将其中一只电流表改装成电压表,然后利用伏安法测出Rx.为了尽量准确的测出Rx的阻值,请你根据找到的器材和该同学的设计思路,在虚线框内画出实验电路图,并标出器材符号.
②你所选用的滑动变阻器是
R1
R1
(填器材序号字母或器材符号).
③若某次测量中电流表A1的示数为I1,电流表A2的示数为I2,则Rx的表达式为:Rx=
I1(R0+r1)
I2-I1
I1(R0+r1)
I2-I1

违法和不良信息举报电话:027-86699610 举报邮箱:58377363@163.com

精英家教网