题目内容

(综合提升)如图所示,滑块质量为m,与水平地面间的动摩擦因数为0.1,它以v0=3的初速度由A点开始向B点滑行,AB=5R,并滑上光滑的半径为R圆弧BC,在C点正上方有一离C点高度也为R的旋转平台,沿平台直径方向开有两个离轴心距离相等的小孔PQ,旋转时两孔均能达到C点的正上方.若滑块滑过C点后从P孔上升又恰能从Q孔落下,则平台转动的角速度ω应满足什么条件?

答案:
解析:

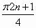
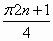
  答案:ω=(n=0,1,2…)

  解析:设滑块至B点时速度为vB,对滑块由A点到B点应用动能定理有

  -μmg5Rmvmv

  解得v=8gR

  滑块从B点开始运动后机械能守恒,设滑块到达P处时速度为vP,则

  mvmvmg2R

  解得vP=2

  滑块穿过P孔后再回到平台的时间

  t=4

  要想实现题述过程,需满足ωt=(2n+1)π

  ω=(n=0,1,2…).


练习册系列答案
相关题目

违法和不良信息举报电话:027-86699610 举报邮箱:58377363@163.com

精英家教网