题目内容

如图甲所示,由均匀电阻丝做成的正方形线框abcd的电阻为R,ab=bc=cd=da=l,现将线框以与ab垂直的速度v匀速穿过一宽度为2l、磁感应强度为B的匀强磁场区域,整个过程中ab、cd两边始终保持与边界平行,令线框的cd边刚与磁场左边界重合时t=0,电流沿abcda流动的方向为正.

(1)求此过程中线框产生的焦耳热;

(2)在图乙中画出线框中感应电流随时间变化的图象;

(3)在图丙中画出线框中a、b两点间电势差Uab随时间t变化的图象.

答案:
解析:

  (1)ab或cd切割磁感线所产生的感应电动势为,对应的感应电流为,ab或cd所受的安培.外力所做的功为W=,由能的转化和守恒定律可知,线框匀速拉出过程中所产生的焦耳热应与外力所做的功相等,即Q=W=

  (2)今,画出的图象分为三段,如图所示:

  t=0~

  t=

  t=

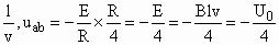
  (3)今U0=Blv,画出的图象分为三段,如图所示:

  t=0~

  t=

  t=


练习册系列答案
相关题目

违法和不良信息举报电话:027-86699610 举报邮箱:58377363@163.com

精英家教网