题目内容

(6分)为了简单测量小木块与水平桌面间的动摩擦因数,按以下步骤进行:

a.将一端固定在木板P上的轻弹簧置于水平桌面上,固定木板P,在桌面上标记弹簧自由端位置O.将小木块接触弹簧自由端(不栓接)并使其缓慢移至A位置,如图1所示.

b.将小木块从静止开始释放,小木块运动至B位置停止.

c.将弹簧移至桌边,使弹簧自由端位置O与桌边缘对齐,如图2所示,固定木板P,使小木块接触弹簧自由端(不栓接)并使其缓慢移至C位置,使,将小木块从静止开始释放,小木块落至水平地面D处,为O点在水平地面的竖直投影点.若已经测得OB距离为L,间竖直高度为h.小木块可看做质点,不计空气阻力.

①为测量小木块与水平桌面间的动摩擦因数,还需要测量的物理量是:                         

                        .(用文字和字母表示)

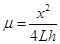
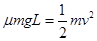
②写出小木块与桌面间的动摩擦因数的表达式:=                  .(用测得的物理量的字母表示)

 

【答案】

  ①O′与D点间距离 (3分)  ②(3分)

【解析】

试题分析:该实验步骤a、b中,弹性势能等于物体从A运动到B的过程中克服摩擦力做的功,由于,根据动能定理得:物块在O处的动能等于由O到B的过程中克服摩擦力所做的功;根据平抛运动的公式得:在O点的速度,所以,解得:。所以还需要测量的物理量是:O′与D点的距离,小木块与桌面间的动摩擦因数的表达式:.

考点:本题考查了平抛运动、动能定理、弹簧的弹力做功。

 

练习册系列答案
相关题目
(2013?重庆模拟)(1)为了简单测量小木块与水平桌面间的动摩擦因数,按以下步骤进行:
a.将一端固定在木板P上的轻弹簧置于水平桌面上,固定木板P,在桌面上标记弹簧自由端位置O.将小木块接触弹簧自由端(不栓接)并使其缓慢移至A位置,如图1所示.
b.将小木块从静止开始释放,小木块运动至B位置停止.
c.将弹簧移至桌边,使弹簧自由端位置O与桌边缘对齐,如图2所示,固定木板P,使小木块接触弹簧自由端(不栓接)并使其缓慢移至C位置,使
.
OC
=
.
OA
,将小木块从静止开始释放,小木块落至水平地面D处,O'为O点在水平地面的竖直投影点.若已经测得OB距离为L,OO'间竖直高度为h.小木块可看做质点,不计空气阻力.
①为测量小木块与水平桌面间的动摩擦因数,还需要测量的物理量是:
O′与D点的距离x
O′与D点的距离x
(用文字和字母表示)
②写出小木块与桌面间的动摩擦因数的表达式:μ=
x2
4Lh
x2
4Lh
(用测得的物理量的字母表示) 
(2)在做测量一电源的电动势和内电阻的实验时,备有下列器材:
A.定值电阻:
R
 
0
=2Ω
B.直流电流表(量程0~0.6A,内阻不能忽略)
C.直流电压表(量程0~3V,内阻较大)
D.滑动变阻器(阻值范围0~10Ω)
E.滑动变阻器(阻值范围0~200Ω)
F.开关S及导线若干
①滑动变阻器选用
D
D
(填“D”或“E”).
②某同学将选定的器材在图3所示的实物图上连线完成了部分实验电路,请你以笔画线做导线连接正确的电路.
③按正确操作完成实验,根据实验记录,将测量数据描点作出拟合图线如图4所示,由图象可得该电源的电动势E=
2.95
2.95
V,内电阻r=
0.770
0.770
Ω(结果均保留三位有效数字).

按题目要求作答。解答题应写出必要的文字说明、方程式和重要演算步骤,只写出最后答案的不能得分。有数值计算的题,答案中必须明确写出数值和单位。

 (1)(8分)某探究学习小组的同学欲验证“动能定理”,他们在实验室组装了一套如图所示的装置,另外他们还找到了打点计时器所用的学生电源、导线、复写纸、纸带、小木块、细沙,当滑块连接上纸带,用细线通过滑轮挂上空的小沙桶时,释放小桶,滑块处于静止状态,若你是小组中的一位成员,要完成该项实验,则:

    1) 你认为还需要的实验器材有____________.

  

 2) 实验时为了保证滑块受到的合力与沙和沙桶的总重力大小基本相等,沙和沙桶的总质       量应满足的实验条件是                                   

    实验时首先要做的步骤是                                       

 

3) 在(2)的基础上,某同学用天平称量滑块的质量m往沙桶中装入适量的细沙,用天平称出此时沙和沙桶的总质量M.让沙桶带动滑块加速运动,用打点计时器记录其运动情况,在打点计时器打出的纸带上取两点,测出这两点的间距L和这两点的速度大小vl与v2 (vl< v2).则本实验最终要验证的数学表达式为   _______________________   (用题中的字母表示实验中测量得到的物理量)。

 

2、①某同学用如题图34-2所示的装置来探究机械能守恒定律:实验中,得到了甲、乙、丙三条实验纸带,如图34-3所示,则应选_____纸带好。

在实验中若所用重物的质量为1.00kg,当地的重力加速度为g=9.80m/s2,在某次实验中得到一条点迹清晰的纸带,如图34-4所示,把第一个点记作O ,另选取连续的4个点A、B、C、D作为测量的点,经测量知道A、B、C、D各点到O点的距离分别为62.99cm,70.18cm,77.76cm、85.73cm。

②根据以上数据,可知重物由O点运动到C点,重力势能的减少量等于____J,动能的增加量等于____J(取三位有效数字).

③由以上的计算结果可看出,重物由O点运动到C点,重力势能的减少量      于动能的增加量,试简单阐述造成这一结果的两个理由             、              

 

违法和不良信息举报电话:027-86699610 举报邮箱:58377363@163.com

精英家教网