题目内容
物体以速度v匀速通过直线上的A、B两点,所用时间为t;现在物体从A点由静止出发,先匀加速直线运动(加速度为a1)到某一最大速度vm后立即做匀减速直线运动(加速度大小为a2)至B点速度恰好减为0,所用时间仍为t.则物体的( )A.vm只能为2v,与a1、a2的大小无关
B.vm可为许多值,与a1、a2的大小有关
C.a1、a2须是一定的
D.a1、a2必须满足
【答案】分析:A、当物体匀速通过A、B两点时,x=vt.当物体先匀加速后匀减速通过A、B两点时,根据平均速度公式,总位移x=
,从而可得知vm与v的关系.
C、匀加速运动的时间和匀减速运动的时间之和
,再根据vm与v的关系得出a1、a2所满足的条件.
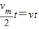
解答:解:A、当物体匀速通过A、B两点时,x=vt.当物体先匀加速后匀减速通过A、B两点时,根据平均速度公式,总位移x=
,则
,得vm=2v.与a1、a2的大小无关.故A正确,B错误.
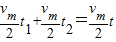
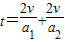
C、匀加速运动的时间和匀减速运动的时间之和
,而vm=2v,代入得
,整理得
.故C错误,D正确.
故选AD.
点评:解决本题关键掌握匀变速直线运动的平均速度的公式
,从而得出先匀加速后匀减速运动的位移x=
,
C、匀加速运动的时间和匀减速运动的时间之和
解答:解:A、当物体匀速通过A、B两点时,x=vt.当物体先匀加速后匀减速通过A、B两点时,根据平均速度公式,总位移x=
C、匀加速运动的时间和匀减速运动的时间之和
故选AD.
点评:解决本题关键掌握匀变速直线运动的平均速度的公式
练习册系列答案
相关题目