ÌâÄ¿ÄÚÈÝ

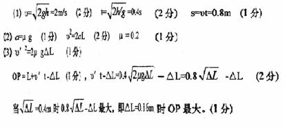
ÈçͼËùʾ£¬¹â»¬Ô²»¡ABÔÚ¼áÖ±Æ½ÃæÄÚ£¬Ô²»¡B´¦µÄÇÐÏßˮƽ¡£A,BÁ½¶ËµÄ¸ß¶È²îΪ0.2m, B¶Ë¸ß³öˮƽµØÃæ0.8m£¬OµãÔÚBµãµÄÕýÏ·½¡£½«Ò»»¬¿é´ÓA¶ËÓɾ²Ö¹ÊÍ·Å£¬ÂäÔÚË®Æ½ÃæÉϵÄCµã´¦£¬£¨g=10m/s2£©

(1)ÇóOCµÄ³¤

£¨2£©ÔÚB¶Ë½ÓÒ»³¤Îª1.0mµÄľ°åMN£¬»¬¿é´ÓA¶ËÊͷźóÕýºÃÔ˶¯N¶ËÍ£Ö¹£¬Çóľ°åÓ뻬¿éµÄ¶¯Ä¦²ÁÒòÊý¡£

£¨3£©Èô½«Ä¾°åÓҶ˽ØÈ¥³¤Îª¡÷LµÄÒ»¶Î£¬»¬¿é´ÓA¶ËÊͷź󽫻¬Àëľ°æÂäÔÚË®Æ½ÃæÉÏPµã´¦£¬ÒªÊ¹Â䵨µã¾àOµãµÄ¾àÀë×îÔ¶£¬¡÷LӦΪ¶àÉÙ£¿

(1)0.8m    £¨5·Ö£©    (2)0.2£¨5·Ö£©       (3) ¡÷L=0.16£¨5·Ö£©

Á·Ï°²áϵÁдð°¸
Ïà¹ØÌâÄ¿

Î¥·¨ºÍ²»Á¼ÐÅÏ¢¾Ù±¨µç»°£º027-86699610 ¾Ù±¨ÓÊÏ䣺58377363@163.com

¾«Ó¢¼Ò½ÌÍø