题目内容
A.它们的角速度相同
B.线速度与质量成正比
C.向心力与质量的乘积成正比
D.轨道半径与质量成反比
【答案】分析:在双星系统中,双星之间的万有引力提供各自做圆周运动的向心力,即向心力相同,同时注意:它们的角速度相同,然后根据向心力公式列方程即可求解.
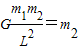
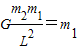
解答:解:在双星问题中它们的角速度相等,设两星之间的距离为L,则有:
ω2r1 ①
ω2r2 ②
联立①②可得:m1r1=m2r2,即轨道半径和质量成反比,同时由万有引力公式可知向心力与质量的乘积成正比.
综上分析可知,B错误,ACD正确.
故选ACD.
点评:解决问题时要把握好问题的切入点.如双星问题中两卫星的向心力相同,角速度相等.
解答:解:在双星问题中它们的角速度相等,设两星之间的距离为L,则有:
联立①②可得:m1r1=m2r2,即轨道半径和质量成反比,同时由万有引力公式可知向心力与质量的乘积成正比.
综上分析可知,B错误,ACD正确.
故选ACD.
点评:解决问题时要把握好问题的切入点.如双星问题中两卫星的向心力相同,角速度相等.
练习册系列答案
相关题目
| A、它们的角速度相同 | B、向心力与质量成正比 | C、线速度与质量成反比 | D、轨道半径与质量成正比 |
| A、v1=v2 | ||||
| B、ω1=ω2 | ||||
C、
| ||||
D、
|
两个靠近的天体称为双星,它们以两者连线上某点O为圆心做匀速圆周运动,其质量分别为m1、m2,如图所示,以下说法正确的是( )![]()
| A.它们的角速度相同 |
| B.向心力与质量成正比 |
| C.线速度与质量成反比 |
| D.轨道半径与质量成正比 |