题目内容

如图所示,波S从平衡位置开始上、下(沿y轴方向)振动,产生的简谐横波向右传播,经过0.1s后,沿波的传播方向上距S为2m的P点开始振动.若以P点开始振动的时刻作为计时的起点,P点的振动图象,如图所示.则下列说法中正确的是(  )

A.波S最初是向上振动的
B.该简谐波的波速为20m/s
C.该波的波长为(n=0,1,2,…)
D.该波通过宽度约为1m的缝隙时,不能产生明显的衍射现象

B

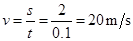
解析试题分析:由振动图像图像可知,开始振动的下一刻,P点在下方,故开始时P点向下振动,A错误。简谐波的速度,故B正确。根据振动图像可知振动周期为0.4s,即波是周期为0.4s根据,可知波长,故C错误,产生明显衍射现象时,障碍物或狭缝的直径小于或等于其波长,故该波通过宽度约为1m的缝隙时,能产生明显的衍射现象,D错误。
考点:机械波的产生原理,波是衍射

练习册系列答案
相关题目

违法和不良信息举报电话:027-86699610 举报邮箱:58377363@163.com

精英家教网