ÌâÄ¿ÄÚÈÝ

ÈçͼËùʾ£¬ÖÊÁ¿ÎªM£½4 kgµÄľ°å¾²Ö¹ÖÃÓÚ×ã¹»´óµÄË®Æ½ÃæÉÏ£¬Ä¾°åÓëË®Æ½Ãæ¼äµÄ¶¯Ä¦²ÁÒòÊý¦Ì£½0.01£¬°åÉÏ×î×ó¶ËÍ£·Å×ÅÖÊÁ¿Îªm£½1 kg¿ÉÊÓΪÖʵãµÄµç¶¯Ð¡³µ£¬³µÓëľ°åµÄµµ°åÏà¾àL£½5 m£¬³µÓɾ²Ö¹¿ªÊ¼´Óľ°å×ó¶ËÏòÓÒ×öÔȼÓËÙÔ˶¯£¬¾­Ê±¼ät£½2 s£¬³µÓëµ²°åÏàÅö£¬Åöײʱ¼ä¼«¶ÌÇÒÅöºóµç¶¯»úµÄµçÔ´Çжϣ¬³µÓëµ²°åÕ³ºÏÔÚÒ»Æð£¬Çó£º

(1)ÊÔͨ¹ý¼ÆËã˵Ã÷£¬µç¶¯Ð¡³µÔÚľ°åÉÏÔ˶¯Ê±£¬Ä¾°åÄÜ·ñ±£³Ö¾²Ö¹£¿

(2)ÊÔÇó³öÅöºóľ°åÔÚË®Æ½ÃæÉÏ»¬¶¯µÄ¾àÀ룮

´ð°¸£º
½âÎö£º

¡¡¡¡(1)Éèľ°å²»¶¯£¬µç¶¯³µÔÚ°åÉÏÔ˵ļÓËÙ¶ÈΪ£®

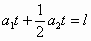
¡¡¡¡ÓÉL£½¡¡µÃ¡¡¡¡1·Ö

¡¡¡¡´Ëʱľ°åʹ³µÏòÓÒÔ˶¯µÄĦ²ÁÁ¦¡¡¡¡1·Ö

¡¡¡¡Ä¾°åÊܳµÏò×óµÄ·´×÷ÓÃÁ¦¡¡¡¡1·Ö

¡¡¡¡Ä¾°åÊܵØÃæÏòÓÒ×î´ó¾²Ä¦²ÁÁ¦¡¡¡¡1·Ö

¡¡¡¡ËùÒÔľ°å²»¿ÉÄܾ²Ö¹£¬½«Ïò×óÔ˶¯¡¡¡¡1·Ö

¡¡¡¡(2)Éèµç¶¯³µÏòÓÒÔ˶¯¼ÓËÙ¶È£¬Ä¾°åÏò×óÔ˶¯¼ÓËÙ¶ÈΪ£¬Åöǰµç¶¯³µËÙ¶ÈΪ£¬Ä¾°åËÙ¶ÈΪ£¬Åöºó¹²Í¬ËÙ¶ÈΪv£¬Á½ÕßÒ»ÆðÏòÓÒÔ˶¯s¶øÍ£Ö¹£®

¡¡¡¡¶Ôµç¶¯³µ¡¡¡¡1·Ö

¡¡¡¡¶Ôľ°åm£«M)g£½Ma¡¡¡¡1·Ö

¡¡¡¡F·Ö£½F

¡¡¡¡ÓÖ¡¡¡¡1·Ö

¡¡¡¡½âµÃ¡¡¡¡1·Ö

¡¡¡¡¡¡¡¡1·Ö

¡¡¡¡¡¡¡¡1·Ö

¡¡¡¡Á½ÕßÏàÅöʱ£¬¶¯Á¿Êغ㡡¡¡1·Ö

¡¡¡¡s¡¡¡¡1·Ö

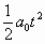
¡¡¡¡¸ù¾Ý¶¯Äܶ¨Àí£º£­¡¡¡¡1·Ö

¡¡¡¡½âµÃ£ºS£½0.2 m¡¡¡¡1·Ö


Á·Ï°²áϵÁдð°¸
Ïà¹ØÌâÄ¿

Î¥·¨ºÍ²»Á¼ÐÅÏ¢¾Ù±¨µç»°£º027-86699610 ¾Ù±¨ÓÊÏ䣺58377363@163.com

¾«Ó¢¼Ò½ÌÍø