题目内容
如图所示,同一轨道平面内的几颗人造地球卫星A、B、C绕地球做匀速圆周运动,某时刻它们恰好在同一直线上,下列说法正确的是( )A.、根据
B.、它们的运转角速度的关系为ωA>ωB>ωC
C.、它们的向心加速度的大小关系为aA<aB<aC
D.、各自运动一周后,A最先回到图示位置
【答案】分析:研究卫星绕地球做匀速圆周运动,根据万有引力提供向心力,列出等式表示出所要比较的物理量即可解题.
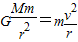
解答:解:A、根据v=
中距离r的变化去判断速度大小关系是错误的,因为随着距离r的变化,g也在改变.
研究卫星绕地球做匀速圆周运动,根据万有引力提供向心力,列出等式:

v=
,其中M为地球质量,r为轨道半径.所以vA<vB<vC.
故A错误.
B、根据
得:ω=
,其中M为地球质量,r为轨道半径.所以ωA<ωB<ωC故B错误.
C、卫星绕地球做匀速圆周运动,根据万有引力提供向心力,列出等式:

a=
,其中M为地球质量,r为轨道半径.
所以向心加速度aA<aB<aC.故C正确.
D、研究卫星绕地球做匀速圆周运动,根据万有引力提供向心力,列出等式:

T=
,其中M为地球质量,r为轨道半径.
所以TA>TB>TC.所以运动一周后,C先回到原地点.故D错误.
故选C.
点评:解决本题的关键是掌握万有引力提供向心力,即
,不能考虑一个变量而忽略了另一个变量的变化.
解答:解:A、根据v=
研究卫星绕地球做匀速圆周运动,根据万有引力提供向心力,列出等式:
v=
故A错误.
B、根据
得:ω=
C、卫星绕地球做匀速圆周运动,根据万有引力提供向心力,列出等式:
a=
所以向心加速度aA<aB<aC.故C正确.
D、研究卫星绕地球做匀速圆周运动,根据万有引力提供向心力,列出等式:
T=
所以TA>TB>TC.所以运动一周后,C先回到原地点.故D错误.
故选C.
点评:解决本题的关键是掌握万有引力提供向心力,即
练习册系列答案
相关题目
| A、竖直方向的分运动是匀速直线运动 | B、竖直方向的分运动是自由落体运动 | C、水平方向的分运动是匀速直线运动 | D、水平方向的分运动是匀加速直线运动 |