ÌâÄ¿ÄÚÈÝ

·çÄÜÊÇÒ»ÖÖ»·±£ÐÍÄÜÔ´¡£Ä¿Ç°ÎÒ¹ú·çÁ¦·¢µç×Ü×°»úÈÝÁ¿ÒÑ´ï¡£¾Ý¿±²âÎÒ¹úµÄ·çÁ¦×ÊÔ´ÖÁÉÙÓУ¬Òò´Ë·çÁ¦·¢µçÊǺÜÓÐǰ;µÄÒ»ÖÖÄÜÔ´¡£·çÁ¦·¢µçÊǽ«·çµÄ¶¯ÄÜת»¯ÎªµçÄÜ¡£Éè¿ÕÆøµÄÃܶÈΪ£¬Ë®Æ½·çËÙΪ£¬Ä³·çÁ¦·¢µç»úÿ¸öҶƬ³¤Îª¡£Éèͨ¹ýҶƬÐýתËùΧ³ÉµÄÔ²ÃæÄÚµÄËùÓзçÄÜת»¯ÎªµçÄܵÄЧÂÊΪ£¬ÄÇô¸Ã·çÁ¦·¢µç»ú·¢³öµÄµç¹¦ÂʵÄÊýѧ±í´ïʽΪ£»ÈôijµØÆ½¾ù·çËÙΪ£¬ËùÓ÷çÁ¦·¢µç»úµÄҶƬ³¤£¬¿ÕÆøÃܶȣ¬Ð§ÂÊΪ£»Ã¿ÌìÆ½¾ù·¢µçСʱ£¬Ôò»ñµÃµÄµçÄÜΪ£¨±£ÁôÁ½Î»ÓÐЧÊý×Ö£©¡£

 

¡¾´ð°¸¡¿

 ¡¢

¡¾½âÎö¡¿

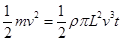
ÊÔÌâ·ÖÎö£ºÒ¶Æ¬ÐýתËùÐγɵÄÔ²Ãæ»ýΪ £¬tÃëÄÚÁ÷¹ý¸ÃÔ²Ãæ»ýµÄ·çÖùÌå»ýΪ 

·çÖùÌåµÄÖÊÁ¿Îª    £¬·çÖùÌåµÄ¶¯ÄÜΪ Ek=

ת»¯³ÉµÄµçÄÜΪ E=£»

ÿÌì»ñµÃµÄµçÄÜ£º E=

¿¼µã£ºÄÜÁ¿Êغ㶨ÂÉ

 

Á·Ï°²áϵÁдð°¸
Ïà¹ØÌâÄ¿

Î¥·¨ºÍ²»Á¼ÐÅÏ¢¾Ù±¨µç»°£º027-86699610 ¾Ù±¨ÓÊÏ䣺58377363@163.com

¾«Ó¢¼Ò½ÌÍø