ÌâÄ¿ÄÚÈÝ
£¨1£©Óõç´Å´òµã¼ÆÊ±Æ÷¡¢Ë®Æ½Ä¾°å£¨°üÀ¨¶¨»¬ÂÖ£©¡¢Ð¡³µµÈÆ÷²Ä×ö¡°Ñо¿Ð¡³µ¼ÓËÙ¶ÈÓëÖÊÁ¿µÄ¹ØÏµ¡±µÄʵÑ飮ÏÂͼÊÇijѧÉú×ö¸ÃʵÑéʱС³µ¼´½«ÊÍ·Å֮ǰµÄʵÑé×°ÖÃͼ£¬¸ÃͼÖÐÓÐ4´¦´íÎó£¬Çëд³öÆäÖÐÁ½´¦£º¢Ù______£»¢Ú______£®
£¨2£©ÀûÓôòµã¼ÆÊ±Æ÷ºÍÈçͼµÄÆäËûÆ÷²Ä¿ÉÒÔ¿ªÕ¹¶àÏî
ʵÑé̽¾¿£¬ÆäÖ÷Òª²½ÖèÈçÏ£º
a¡¢°´×°Öð²×°ºÃÆ÷²Ä²¢Á¬ºÃµç·£®
b¡¢½ÓͨµçÔ´£¬ÊÍ·ÅÖ½´ø£¬ÈÃÖØ´¸Óɾ²Ö¹¿ªÊ¼×ÔÓÉÏÂÂ䣮
c¡¢¹Ø±ÕµçÔ´£¬È¡³öÖ½´ø£¬¸ü»»Ö½´øÖظ´²½Öèb£¬´ò³ö¼¸ÌõÖ½´ø£®
d¡¢Ñ¡ÔñÒ»Ìõ·ûºÏʵÑéÒªÇóµÄÖ½´ø£¬Êý¾ÝÈçͼ£¨ÏàÁÚ¼ÆÊýµãµÄʱ¼äΪT£©£¬½øÐÐÊý¾Ý´¦Àí£º
¢ÙÈôÊÇ̽¾¿ÖØÁ¦×ö¹¦ºÍÎïÌ嶯Äܱ仯µÄ¹ØÏµ£®ÐèÇó³öÖØ´¸Ô˶¯µ½¸÷¼ÆÊýµãµÄ˲ʱËÙ¶È£¬ÊÔ±íʾÔÚBµãÊ±ÖØ´¸Ô˶¯µÄ˲ʱËÙ¶ÈVB=______£®
¢ÚÈôÊDzâÁ¿ÖØÁ¦¼ÓËÙ¶Èg£®Îª¼õÉÙʵÑéµÄżȻÎó²î£¬²ÉÓÃÖð²î·¨´¦ÀíÊý¾Ý£¬Ôò¼ÓËÙ¶È´óС¿ÉÒÔ±íʾΪg=______£®
¢ÛÈç¹ûÇó³öµÄ¼ÓËÙ¶ÈÖµÓëµ±µØÖØÁ¦¼ÓËٶȹ«ÈϵÄÖµg¡äÓнϴó²î¾à£¬ËµÃ÷ʵÑé¹ý³Ì´æÔڽϴóµÄ×èÁ¦£¬ÈôÒª²â³ö×èÁ¦µÄ´óС£¬Ôò»¹Ðè²âÁ¿µÄÎïÀíÁ¿ÊÇ______£®£¨ g¡äΪÒÑÖªÁ¿£©
¡¾´ð°¸¡¿·ÖÎö£º£¨1£©½â¾öʵÑéÎÊÌâÊ×ÏÈÒªÕÆÎÕ¸ÃʵÑéÔÀí£¬Á˽âʵÑéµÄÒÇÆ÷¡¢²Ù×÷²½ÖèºÍÊý¾Ý´¦ÀíÒÔ¼°×¢ÒâÊÂÏ
£¨2£©¢ÙÔÚÔȱäËÙÖ±ÏßÔ˶¯ÖУ¬Öмäʱ¿ÌµÄ˲ʱËٶȵÈÓڸùý³ÌÖÐµÄÆ½¾ùËÙ¶È£¬¾Ý´Ë¿ÉÒÔÇó³öCµãµÄËÙ¶È´óС£»
¢ÚÀûÓÃÖð²î·¨¿ÉÒÔÇó³ö¼ÓËٶȵĴóС£»
¢Û¸ù¾ÝÅ£¶ÙµÚ¶þ¶¨ÂÉ£¬mg-f=ma£¬ÓÉ´Ë¿ÉÖª£¬ÐèÒª²âÁ¿µÄÎïÀíÁ¿ÊÇÖØ´¸µÄÖÊÁ¿m£®
½â´ð£º½â£º£¨1£©ÓÉʵÑé×°ÖÃͼÏó¿ÉÖª£¬Ï¸ÏßÓëľ°å²»Æ½ÐУ¬ËùÒÔ´Ë´¦´íÎó£»
´òµã¼ÆÊ±Æ÷ÓõıØÐëÊǽ»Á÷µç£¬Í¼ÖÐÓõÄÊÇÖ±Á÷µç£¬ËùÒÔ²ÉÓõĵçÔ´²»¶Ô£¬
С³µÊͷŵÄλÖÃÓ¦¸Ã¿¿½ü¼ÆÊ±Æ÷£¬ÒÔ±ã²âÁ¿¸ü¶àµÄÊý¾ÝÀ´¼õСÎó²î£¬
ͼÖÐľ°åÒ»¶ËûÓÐõÚÆð£¬Òò´ËûÓÐÆ½ºâĦ²ÁÁ¦£¬´Ë´¦´íÎó£®
¹Ê´ð°¸Îª£º¢ÙϸÏßÓëľ°å²»Æ½ÐУ»¢Ú´òµã¼ÆÊ±Æ÷½ÓµÄÊÇÖ±Á÷µçÔ´£®¢ÛС³µÊͷŵÄλÖÃÔ¶Àë¼ÆÊ±Æ÷£¬¢ÜûÓÐÆ½ºâĦ²ÁÁ¦£®£¨ÌîÈÎÒâÁ½Ïî¼´¿É£©
£¨2£©£º¢ÙÔÚÔȱäËÙÖ±ÏßÔ˶¯ÖУ¬Öмäʱ¿ÌµÄ˲ʱËٶȵÈÓڸùý³ÌÖÐµÄÆ½¾ùËÙ¶È£¬¹ÊBµãµÄËÙ¶ÈΪ£º
VB=
¹Ê´ð°¸Îª£º
£®
¢ÚÀûÓÃÔȱäËÙÖ±ÏßÔ˶¯µÄÍÆÂÛÏàÁÚÏàµÈʱ¼äÄÚµÄÎ»ÒÆ²î¡÷x=at2
ËùÒÔ£¬xm-xn=£¨m-n£©aT2£¬±¾×ÅÓÐЧÀûÓÃÊý¾Ý£¬²ÉÓÃÇ󯽾ùÖµµÄ°ì·¨¼õСÎó²îµÄ°ì·¨£¬
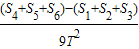
±¾ÊµÑéÖУ¬g=
£®
¹Ê´ð°¸Îª£º
£®
¢Û¸ù¾ÝÅ£¶ÙµÚ¶þ¶¨ÂÉ£¬mg-f=ma£¬ÓÉ´Ë¿ÉÖª£¬ÐèÒª²âÁ¿µÄÎïÀíÁ¿ÊÇÖØ´¸µÄÖÊÁ¿m£®
¹Ê´ð°¸Îª£ºÖØ´¸µÄÖÊÁ¿m£®
µãÆÀ£º±¾Ì⿼²éÁËÑéÖ¤»úеÄÜÊØºã¶¨ÂÉÖеÄÊý¾Ý´¦Àí·½·¨£¬ÒÔ¼°ÓйØÎó²î·ÖÎö£¬ÓÈÆäÊÇÎó²î·ÖÎöÊÇÄѵ㣬ÓÈÆäÊÇÒªÃ÷ȷʵÑéÔÀí£®
£¨2£©¢ÙÔÚÔȱäËÙÖ±ÏßÔ˶¯ÖУ¬Öмäʱ¿ÌµÄ˲ʱËٶȵÈÓڸùý³ÌÖÐµÄÆ½¾ùËÙ¶È£¬¾Ý´Ë¿ÉÒÔÇó³öCµãµÄËÙ¶È´óС£»
¢ÚÀûÓÃÖð²î·¨¿ÉÒÔÇó³ö¼ÓËٶȵĴóС£»
¢Û¸ù¾ÝÅ£¶ÙµÚ¶þ¶¨ÂÉ£¬mg-f=ma£¬ÓÉ´Ë¿ÉÖª£¬ÐèÒª²âÁ¿µÄÎïÀíÁ¿ÊÇÖØ´¸µÄÖÊÁ¿m£®
½â´ð£º½â£º£¨1£©ÓÉʵÑé×°ÖÃͼÏó¿ÉÖª£¬Ï¸ÏßÓëľ°å²»Æ½ÐУ¬ËùÒÔ´Ë´¦´íÎó£»
´òµã¼ÆÊ±Æ÷ÓõıØÐëÊǽ»Á÷µç£¬Í¼ÖÐÓõÄÊÇÖ±Á÷µç£¬ËùÒÔ²ÉÓõĵçÔ´²»¶Ô£¬
С³µÊͷŵÄλÖÃÓ¦¸Ã¿¿½ü¼ÆÊ±Æ÷£¬ÒÔ±ã²âÁ¿¸ü¶àµÄÊý¾ÝÀ´¼õСÎó²î£¬
ͼÖÐľ°åÒ»¶ËûÓÐõÚÆð£¬Òò´ËûÓÐÆ½ºâĦ²ÁÁ¦£¬´Ë´¦´íÎó£®
¹Ê´ð°¸Îª£º¢ÙϸÏßÓëľ°å²»Æ½ÐУ»¢Ú´òµã¼ÆÊ±Æ÷½ÓµÄÊÇÖ±Á÷µçÔ´£®¢ÛС³µÊͷŵÄλÖÃÔ¶Àë¼ÆÊ±Æ÷£¬¢ÜûÓÐÆ½ºâĦ²ÁÁ¦£®£¨ÌîÈÎÒâÁ½Ïî¼´¿É£©
£¨2£©£º¢ÙÔÚÔȱäËÙÖ±ÏßÔ˶¯ÖУ¬Öмäʱ¿ÌµÄ˲ʱËٶȵÈÓڸùý³ÌÖÐµÄÆ½¾ùËÙ¶È£¬¹ÊBµãµÄËÙ¶ÈΪ£º
VB=
¹Ê´ð°¸Îª£º
¢ÚÀûÓÃÔȱäËÙÖ±ÏßÔ˶¯µÄÍÆÂÛÏàÁÚÏàµÈʱ¼äÄÚµÄÎ»ÒÆ²î¡÷x=at2
ËùÒÔ£¬xm-xn=£¨m-n£©aT2£¬±¾×ÅÓÐЧÀûÓÃÊý¾Ý£¬²ÉÓÃÇ󯽾ùÖµµÄ°ì·¨¼õСÎó²îµÄ°ì·¨£¬
±¾ÊµÑéÖУ¬g=
¹Ê´ð°¸Îª£º
¢Û¸ù¾ÝÅ£¶ÙµÚ¶þ¶¨ÂÉ£¬mg-f=ma£¬ÓÉ´Ë¿ÉÖª£¬ÐèÒª²âÁ¿µÄÎïÀíÁ¿ÊÇÖØ´¸µÄÖÊÁ¿m£®
¹Ê´ð°¸Îª£ºÖØ´¸µÄÖÊÁ¿m£®
µãÆÀ£º±¾Ì⿼²éÁËÑéÖ¤»úеÄÜÊØºã¶¨ÂÉÖеÄÊý¾Ý´¦Àí·½·¨£¬ÒÔ¼°ÓйØÎó²î·ÖÎö£¬ÓÈÆäÊÇÎó²î·ÖÎöÊÇÄѵ㣬ÓÈÆäÊÇÒªÃ÷ȷʵÑéÔÀí£®
Á·Ï°²áϵÁдð°¸
Ïà¹ØÌâÄ¿