题目内容
在如图所示的光滑水平面上,小明站在静止的小车上用力向右推静止的木箱,木箱最终以速度v向右匀速运动.已知木箱的质量为m,人与车的质量为2m,木箱运动一段时间后与竖直墙壁发生弹性碰撞,反弹回来后被小明接住.求:①推出木箱后小明和小车一起运动的速度v1的大小;
②小明接住木箱后三者一起运动的速度v2的大小.
【答案】分析:①在推出木箱的过程中,木箱和小明以及车组成的系统动量守恒,根据动量守恒定律求出推出木箱后小明和小车一起运动的速度v1的大小;
②小明在接木箱的过程中动量守恒,根据动量守恒定律求出小明接住木箱后三者一起运动的速度v2的大小.
解答:解:①取向左为正方向,由动量守恒定律有
0=2mv1-mv
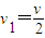
得
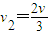
②小明接木箱的过程中动量守恒,有mv+2mv1=(m+2m)v2
解得
答:①推出木箱后小明和小车一起运动的速度v1的大小
.
②小明接住木箱后三者一起运动的速度v2的大小
.
点评:解决本题的关键掌握动量守恒定律,以及在运用动量守恒定律解题时注意速度的方向.
②小明在接木箱的过程中动量守恒,根据动量守恒定律求出小明接住木箱后三者一起运动的速度v2的大小.
解答:解:①取向左为正方向,由动量守恒定律有
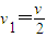
0=2mv1-mv
得
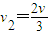
②小明接木箱的过程中动量守恒,有mv+2mv1=(m+2m)v2
解得
答:①推出木箱后小明和小车一起运动的速度v1的大小
②小明接住木箱后三者一起运动的速度v2的大小
点评:解决本题的关键掌握动量守恒定律,以及在运用动量守恒定律解题时注意速度的方向.
练习册系列答案
相关题目